Uma frase muito famosa de Antoine Lavoisier é: “na natureza, nada se perde, nada se cria, tudo se transforma”. O cientista disse tal frase para se referir à transformação de energia, que é a mudança de energia de uma forma para outra. A seguir, confira mais detalhes sobre essa teoria, além de exemplos, videoaulas e exercícios resolvidos!
Publicidade
O que é transformação de energia
A transformação de energia é o fenômeno físico no qual a energia passa de uma forma para outra. Esse processo acontece o tempo todo. Por exemplo, ao bater palmas, você transforma a energia mecânica do movimento de suas mãos em energia sonora e térmica.
Relacionadas
A transformação de energia é um conceito muito comum nas Ciências da Natureza. O fato de a energia ser transformada possibilita a existência de diversas coisas do nosso cotidiano. Desde o carro – que transforma a energia química da combustão da gasolina em energia mecânica – até uma lâmpada – que transforma a energia elétrica em energia luminosa e energia térmica.
Exemplos e tipos de transformação de energia
É impossível listar todas as transformações de energia existentes. Isso acontece porque toda energia conhecida é transformada de alguma forma. Assim, em última instância, pode-se dizer que toda a energia do universo é conservada. Em seguida, confira algumas transformações energéticas comuns no dia a dia.
Motores a combustão
Os motores a combustão, como os que estão presentes na maioria dos carros atuais, transformam energia térmica em energia mecânica. Ou seja, a energia térmica surge a partir da combustão de gasolina, etanol ou diesel. Isso faz com que os pistões do motor se movimentem e transfiram o movimento para as rodas.
Termoelétrica
É a transformação de energia térmica em energia elétrica. Portanto, essa transformação acontece, geralmente, em usinas que usam a queima de carvão como fonte geradora.
Publicidade
Baterias
As baterias transformam a energia química em energia elétrica. Assim, a transformação acontece em pilhas comuns, baterias de celular ou computador, células de energia para carros elétricos etc.
Microfone
Os microfones transformam a energia sonora em energia elétrica. Existem diversos tipos de microfones e, consequentemente, a tecnologia que transforma a energia também é diferente.
Caixas de som
É a transformação de energia elétrica em energia sonora. Essa transformação é o caminho inverso do que acontece no microfone. Isto é, energia elétrica é enviada para o alto-falante e, então, é transformada em energia sonora a partir da vibração da membrana.
Publicidade
Energia cinética e energia potencial
Quando um objeto está a uma certa altura do solo, ele tem energia potencial. Ao se movimentar em direção ao solo, o objeto transforma a energia potencial em energia cinética.
Além dessas transformações de energia, existem diversas outras. Como nas usinas hidrelétricas, na ATP do organismo humano, entre outras.
Vídeos sobre transformação de energia
Como são inúmeras as transformações de energia, veja os vídeos selecionados a seguir, os quais tratam de forma mais detalhada algumas delas.
Energia mecânica e sistemas conservativos
Marcelo Boaro explica como ocorre a conservação da energia mecânica em sistemas conservativos. Além disso, ao fim do vídeo, o professor resolve um exercício de aplicação sobre o conteúdo.
Como funciona uma usina hidrelétrica
Uma usina hidrelétrica transforma a energia cinética em energia elétrica, devido ao movimento das águas dentro das turbinas. Essa maneira de gerar energia é uma das que menos causa danos ao meio ambiente. Todavia, a construção de uma usina hidrelétrica tem grandes impactos na fauna e na flora locais.
Transformação de energia mecânica em energia elétrica
A transformação da energia mecânica em energia elétrica é o princípio de funcionamento de várias usinas geradoras. Por exemplo, usinas hidrelétricas e eólicas. Nesse vídeo, há um experimento que ilustra tal fenômeno. Confira!
Para entender melhor a transformação da energia, você também pode aprender mais sobre a energia mecânica. Bons estudos!
Referências
Física I (2016) – Hugh D. Young
Física II (2016) – Hugh D. Young
Por Hugo Shigueo Tanaka
Divulgador Científico e co-fundador do canal do YouTube Ciência em Si. Historiador da Ciência. Professor de Física e Matemática. Licenciado em Física pela Universidade Estadual de Maringá (UEM). Mestre em Ensino de Ciências e Matemática (PCM-UEM). Doutorando em Ensino de Ciências e Matemática (PCM-UEM).
Tanaka, Hugo Shigueo. Transformação de energia. Todo Estudo. Disponível em: https://www.todoestudo.com.br/fisica/transformacao-de-energia. Acesso em: 23 de December de 2025.
1. [IF-CE]
Um corpo de massa 4 kg é abandonado de uma altura de 320 m em relação ao solo. A aceleração da gravidade no local vale 10m/s2. A energia cinética ao atingir o solo, em J, é igual a:
a) 12800.
b) 6400.
c) 3200.
d) 1600.
e) 800.
Por conservação de energia mecânica,
Einicial = Efinal
No ponto mais alto, a energia inicial corresponde somente à energia potencial gravitacional. No ponto final, apenas à energia cinética:
Epg = Ecinética
Logo, a energia cinética no ponto B, por conta da conservação de eneriga, será igual à energia potencial gravitacional.
Ecinética = mgh
Ecinética = 4 * 10 * 320 = 12800 J
Resposta correta: A
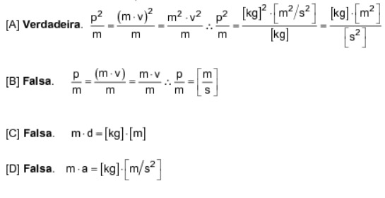
2. [UECE]
Assinale a opção que representa a mesma unidade de medida de energia cinética.
a) (movimento linear)2/massa;
b) (movimento linear)/massa;
c) massa x comprimento;
d) massa x aceleração.
No sistema internacional, a energia tem como unidade de medida o Joule, que é:
J = kg*m/s2.
Assim, ao analisar as alternativas:

Alternativa correta: A