A energia potencial é uma das diversas formas de energia. Neste caso, é armazenada em um corpo e que depende da sua posição em relação ao solo. Além disso, esta forma de energia pode ser convertida em outras energias. Continue neste post para ver a definição, os tipos e exemplos sobre energia potencial.
Publicidade
O que é a energia potencial
Por definição, esse tipo de energia fica armazenada em um determinado corpo. Ela depende, principalmente, da sua posição. Esse tipo de energia pode ser convertido em outras formas de energia potencial. Além disso, ela pode ser transformada em energia cinética, desde que o corpo seja colocado em movimento.
Relacionadas
Outro ponto importante dessa energia é o fato de que ela é produzida a partir da aplicação de uma força conservativa sobre o corpo. Ou seja, ela não depende do caminho percorrido, mas apenas da diferença entre as posições iniciais e finais.
Tipos de energia potencial
Na mecânica existem dois tipos de energia potencial. São elas: a gravitacional e a elástica. A seguir, você vai ver o que é cada uma delas e como é possível calculá-las. Confira!
Energia potencial gravitacional
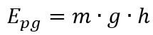
Essa é a energia associada à altura na qual o corpo se encontra do espaço. Dessa maneira, ela depende da massa do corpo, sua posição em relação ao solo e da aceleração da gravidade no local. Matematicamente:

Publicidade
Em que:
- Epg: energia potencial gravitacional (J);
- m: massa (kg);
- g: aceleração da gravidade (m/s²);
- h: altura em relação ao solo(m);
Note que a altura é em relação ao solo. Ou seja, em relação a uma origem dos sistema de coordenadas. Além disso, neste caso, todas as grandezas consideradas são consideradas escalares.
Energia potencial elástica
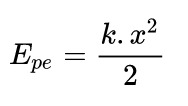
Quando corpos elásticos são deformados, há uma energia associada à sua capacidade de retornar à posição original. Essa é a energia potencial elástica. Ela depende da constante elástica do corpo e da sua deformação. Matematicamente:
Publicidade

Em que:
- Epe: energia potencial elástica(J);
- k: constante elástica (N/m);
- x: deformação do corpo (m);
Note que esta forma de energia não depende da massa do corpo. Contudo, ainda depende da posição inicial e final, a qual é apresentada como a deformação do corpo.
Essas duas formas de energia potencial podem ser transformadas em outras formas de energia. Para entender melhor essas conversões, o ideal é observar exemplos presentes no cotidiano do ser humano contemporâneo.
3 exemplos de energia potencial
Quando se trata de fenômenos da mecânica, vários deles são facilmente observados. Principalmente quando se fala da energia mecânica. Com a potencial isso também é válido. Por isso, confira três exemplos dessa energia no dia-a-dia
- Skate: quando uma pessoa que pratica skate está no alto de um half pipe, ela possui potencial energético, o qual é convertido em energia cinética durante a sua descida.
- Usina hidrelétrica: as barragens destas usinas armazenam a energia das águas. Isto é, a potencial. A qual é convertida em energia cinética e, posteriormente, em energia elétrica, a partir da abertura das comportas.
- Mola: ao comprimir ou esticar uma mola, ela armazena potencial elástico. Esse tipo de energia é convertido em energia cinética quando o corpo é liberado. Esse movimento acontece para que o corpo retorne à posição original.
Existem vários outros exemplos dessas conversões energéticas em nosso cotidiano. Você consegue pensar e elencar algumas delas? Esse tipo de prática é importante para o aprendizado da Física. Afinal, assim é possível observar, na prática, os fenômenos estudados.
Energia potencial X cinética
A energia cinética é aquela que está relacionada com o movimento dos corpos. Ou seja, ela surge quando há velocidade em um determinado corpo. Por sua vez, a potencial é armazenada quando o corpo está na iminência de entrar em movimento. Contudo, ambas energias podem ser convertidas entre si.
Vídeos sobre energia potencial
Agora é hora de aprofundar os seus conhecimentos. Para isso, as vídeo aulas selecionadas vão te ajudar. Elas te darão o suporte matemático e conceitual que faltam para a resolução dos exercícios sobre este tema. Confira!
Os tipos de energia potencial
O professor Marcelo Boaro explica quais são os tipos de energia potencial. Para isso, o docente define o que é essa grandeza física. Além disso, o professor relaciona o conteúdo estudado com o trabalho na Física. Ao fim do vídeo, Boaro resolve um exemplo de aplicação.
Energia potencial gravitacional
Que tal entender mais sobre a energia armazenada em corpos que estão a uma certa altura em relação ao solo? Para isso, o professor Davi Oliveira, do canal Física 2.0, explica a teoria e resolve exemplos sobre esse tipo de energia. Confira!
Energia potencial X cinética
Se você ainda não entendeu a diferença entre a energia potencial e cinética, esse vídeo vai te atender bastante. Aqui, saiba suas características e como diferencia-las.
A partir do estudo da energia é possível compreender vários fenômenos físicos. Além disso, boa parte da Física Clássica pode ser deduzida e entendida a partir das relações de energia. Por isso, para conhecer ainda mais, estude agora sobre transformação de energia.
Referências
Física I: Mecânica (2016) – Hugh D. Young et al.
Física: Volume 1 (2008) – David Halliday et al.
Curso de Física Básica: Volume 1 (2014) – Herch Moysés Nussenzveig.
Por Hugo Shigueo Tanaka
Divulgador Científico e co-fundador do canal do YouTube Ciência em Si. Historiador da Ciência. Professor de Física e Matemática. Licenciado em Física pela Universidade Estadual de Maringá (UEM). Mestre em Ensino de Ciências e Matemática (PCM-UEM). Doutorando em Ensino de Ciências e Matemática (PCM-UEM).
Tanaka, Hugo Shigueo. Energia Potencial. Todo Estudo. Disponível em: https://www.todoestudo.com.br/fisica/energia-potencial. Acesso em: 27 de December de 2025.
1. [Fatec]
Um bloco de massa 0,60kg é abandonado, a partir do repouso, no ponto A de uma pista no plano vertical. O ponto A está a 2,0m de altura da base da pista, onde está fixa uma mola de constante elástica 150 N/m. São desprezíveis os efeitos do atrito e adota-se g=10m/s2. A máxima compressão da mola vale, em metros:
a) 0,80
b) 0,40
c) 0,20
d) 0,10
e) 0,05
Alternativa correta: B
A energia potencial gravitacional é transformada em energia potencial elástica. Assim, elas são iguais. Logo, basta substituir os dados fornecidos pelo exercício, encontramos que a deformação vale:
x = 0,4 m.
2.
O conceito de energia foi de suma importância para o desenvolvimento da ciência, em particular da física. Sendo assim, podemos dizer que o princípio da conservação da energia mecânica diz que:
a) nada se perde, nada se cria, tudo se transforma
b) que a energia pode ser gastada e perdida
c) a energia total de um sistema isolado é constante
d) que a energia jamais pode ser transferida de um corpo a outro
e) a energia cinética de um corpo está relacionada com a força da gravidade
Alternativa correta: C
De acordo com o princípio da conservação da energia mecânica, a energia total de um sistema isolado é sempre constante.