Na esterificação ocorre a formação de ésteres pela reação química entre álcoois e ácidos carboxílicos. É usada na indústria alimentícia, visto que os ésteres são compostos flavorizantes. Além disso, a reação é reversível e o éster formado pode reagir com a água em um processo chamado de hidrólise. A seguir, veja mais sobre essa reação química e suas aplicações.
Publicidade
O que é esterificação
Os ésteres são compostos que, geralmente, possuem odores adocicados e agradáveis. Sendo assim, muitos são utilizados como aromatizantes e flavorizantes de alimentos, motivo pelo qual a reação de esterificação é importante para a indústria alimentícia.
Relacionadas
A esterificação é o processo de combinação entre ácidos carboxílicos (R-COOH) com álcoois (R-OH) para formar um éster (R-COO-R) e água. Possui esse nome justamente pela formação do composto orgânico da classe dos ésteres. É uma reação lenta, por isso é catalisada por ácidos inorgânicos como o ácido clorídrico (HCl) ou o sulfúrico (H2SO4).
Reação de esterificação
Quando um ácido carboxílico reage com um álcool em meio catalítico ácido, forma clássica para obtenção de ésteres, o processo recebe o nome de esterificação de Fischer. De modo geral, ocorre a formação de água pela ligação entre a hidroxila (-OH) do ácido carboxílico com o hidrogênio do álcool. As demais partes das duas moléculas iniciais se unem para formar o éster:

A reação também pode ocorrer com ácidos graxos, visto que são moléculas da classe dos ácidos carboxílicos de cadeia longa. Além disso, a esterificação é uma reação reversível. Sendo assim, a água pode reagir com o éster formado e regenerar os compostos iniciais. Esse fato é evitado com o uso de agentes desidratantes que removem a água do meio reacional, como é o caso do ácido sulfúrico.
Aplicações da esterificação
As reações de síntese de ésteres são utilizadas em diferentes ramos da química. Veja algumas aplicações:
Publicidade
Síntese de medicamentos
A indústria farmacêutica realiza diferentes tipos de reações químicas para a obtenção de medicamentos. Entre elas, é possível citar a reação de esterificação. A síntese do salicilato de metila, princípio ativo de alguns cremes para dores musculares e articulares, é feita pela reação de ácido salicílico com metanol.

Aromatizantes alimentícios
Na indústria de alimentos, aditivos são adicionados aos ingredientes dos produtos para garantir características únicas. Os aromatizantes e flavorizantes são exemplos desses aditivos. Em sua maioria, eles são constituídos de moléculas de ésteres, portanto podem ser sintetizados em laboratórios por reações de esterificação. Veja abaixo alguns exemplos de essências alimentícias, com os devidos reagentes e sabores que podem agregar aos alimentos:

Biodiesel
Uma variação para a reação de esterificação é a de transesterificação em que ésteres reagem com álcoois para formar ésteres e álcoois diferentes. Para a produção de biodiesel, uma alternativa para o uso de combustíveis fósseis, é utilizado óleo vegetal em uma reação com álcool (geralmente o metanol), catalisado por meio básico. O óleo é um triglicerídeo, ou seja, um triéster. Depois da reação de esterificação de ácidos graxos, o produto formado é uma mistura de ésteres e glicerina (um álcool da classe dos trióis).
Publicidade

Como visto, essa reação orgânica tem aplicações em diferentes áreas, desde a indústria farmacêutica até a de combustíveis. Também pode ser considerada uma reação de condensação, visto que duas moléculas se unem e uma molécula menor (água) é descartada.
Vídeos sobre a reação de formação dos ésteres
Agora que o conteúdo já foi apresentado, confira alguns vídeos que foram selecionados para te ajudar na compreensão do tema estudado:
Revisão sobre a reação de esterificação
Quando um ácido carboxílico reage com um álcool em meio catalisado por ácido, a reação que acontece é chamada de esterificação. Assista o vídeo para entender como ocorre esse processo e veja alguns exemplos de reações intramoleculares, que ocorrem entre duas moléculas diferentes, e de reações intermoleculares, que ocorrem quando uma única molécula possui duas funções orgânicas necessárias para esse tipo de reação.
Formação de éster com a reação de Fischer
A formação de ésteres pela reação de ácido carboxílico com álcool é um tema recorrente em vestibulares. Nesse vídeo, aprenda como determinar o produto da reação de um modo prático. A dica é se lembrar que sempre a água é formada pela união de uma hidroxila (do ácido orgânico) com um hidrogênio (do álcool). O restante das duas moléculas iniciais se juntam para formar o éster.
Passo a passo do mecanismo de esterificação
Apesar de ser mais fácil a representação em uma única etapa, a reação de esterificação não acontece de uma vez. É importante entender todas as etapas para não se confundir qual é o produto da reação. Veja no vídeo o passo a passo e entenda como ocorre as reações de formação dos ésteres.
Em síntese, a esterificação é uma reação orgânica onde ocorre a formação de ésteres pela combinação de ácidos carboxílicos com álcoois. É um processo lento e precisa ser catalisado por algum ácido mineral, como o ácido sulfúrico. Não pare de estudar por aqui, veja mais sobre funções oxigenadas que, assim como o éster, são caracterizadas pela presença de oxigênio nas estruturas moleculares dos compostos.
Referências
Química: a ciência central (1999) – Theodore L. Brown, Eugene H. LeMay, Bruce E. Bursten e Julia R. Burdge
Química Orgânica (1976) – T. W. Graham Solomons
Química Orgânica – Volume 1 (1987) – Paula Yurkanis Bruice
Por Lucas Makoto Tanaka dos Santos
Bacharel em Química pela Universidade Estadual de Maringá (UEM), mestrando em Química Analítica, com ênfase em desenvolvimento de métodos analíticos, metabolômica e espectrometria de massas no Laboratório de Biomoléculas e Espectrometria de Massas (LaBioMass), na mesma universidade.
Tanaka dos Santos, Lucas Makoto. Esterificação. Todo Estudo. Disponível em: https://www.todoestudo.com.br/quimica/esterificacao. Acesso em: 21 de December de 2025.
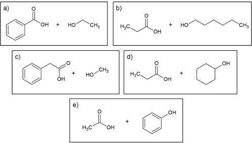
1. [ENEM - 2012]
A própolis é um produto natural conhecido por suas propriedades anti-inflamatórias e cicatrizantes. Esse material contém mais de 200 compostos identificados até o momento. Dentre eles, alguns são de estrutura simples, como é o caso do C6H5CO2CH2CH3 , cuja estrutura está mostrada a seguir:

O ácido carboxílico e o álcool capazes de produzir o éster em apreço por meio da reação de esterificação são, respectivamente:
a) ácido benzoico e etanol.
b) ácido propanoico e hexanol.
c) ácido fenilacético e metanol
d) ácido propiônico e cicloexanol.
e) ácido acético e álcool benzílico.
Representando todas as moléculas das alternativas:

Ao pegar a molécula de C6H5CO2CH2CH3 e realizar uma quebra entre o carbono da carbonila e o oxigênio do éster (local da ligação formada após reação de esterificação) e adicionar os contraions necessários, provenientes da água (OH– e H+), os compostos formados são:

Portanto a alternativa correta é a letra a) ácido benzoico e etanol.
2. [UFPR]
O salicilato de metila é um produto natural amplamente utilizado como analgésico tópico para alívio de dores musculares, contusões etc. Esse composto também pode ser obtido por via sintética a partir da reação entre o ácido salicílico e metanol, conforme o esquema abaixo:

A reação esquematizada é classificada como uma reação de:
a) esterificação.
b) hidrólise.
c) redução.
d) pirólise.
e) desidratação.
O ácido salicílico é um ácido carboxílico e o metanol é um álcool. Quando eles se juntam, ocorre uma reação de esterificação, portanto a alternativa correta é a letra a) esterificação.