A amina é uma classe de compostos orgânicos nitrogenados derivados da amônia. São compostos polares que possuem características básicas e odor forte, característico de peixe. São classificadas conforme a quantidade de hidrogênio que foi substituído no nitrogênio. A seguir, veja mais sobre essa classe de compostos químicos e os tipos de aminas existentes.
Publicidade
O que é amina
É uma classe química de compostos orgânicos nitrogenados, ou seja, aqueles constituídos de uma cadeia carbônica e com a presença de átomos de nitrogênio, derivados da amônia (NH3). Podem ser classificados conforme a quantidade de hidrogênios no NH3 que foram substituídos, sendo primária, secundária ou terciária se um, dois ou três hidrogênios forem trocados, respectivamente.
Relacionadas
São compostos básicos e polares, características originadas do par de elétrons não compartilhado sobre o átomo de nitrogênio da função orgânica. Portanto, é considerada uma base de Lewis, espécie química capaz de doar pares de elétrons. São encontradas nos três estados físicos da matéria, sendo a amina de cadeia pequena (até 6 carbonos), gasosa, aquela com até 12 C, líquida, e as que possuem mais de 12 átomos de carbono, sólidas. Tudo isso à temperatura ambiente.
A amina possui um odor característico e forte, que se assemelha ao cheiro de peixe ou de amônia. Apesar disso, é uma classe de compostos presentes em diversas drogas e compostos estimulantes como a cafeína ou as anfetaminas, em vitaminas e aminoácidos, em antibióticos como a penicilina, além de algumas substâncias da classe serem utilizadas na fabricação de corantes, explosivos ou na produção de sabões, por exemplo.
A nomenclatura da amina é bem simples. Seguindo as regras determinadas pela União Internacional da Química Pura e Aplicada (IUPAC), primeiro deve-se nomear as cadeias carbônicas que estão ligadas ao nitrogênio e, em seguida, completar com a terminação “amina”. A diferença é que em aminas secundárias ou terciárias é preciso colocar os substituintes em ordem alfabética e, quando necessário, adicionar os prefixos “di-” ou “tri-”, se os radicais forem idênticos.
Amina primária
Uma amina primária ocorre quando um dos 3 hidrogênios da amônia é substituído por um grupo alquila, representado por R, que indica uma cadeia carbônica, seja ela aromática ou não. A sua estrutura é identificada pela presença de um NH2 ligado à cadeia carbônica.
Publicidade

Exemplos de amina primária
- Etilamina: com fórmula molecular CH3CH2NH2, a etilamina é uma amina primária muito utilizada em sínteses orgânicas e na indústria química, na produção de herbicidas.
- 2-metil-propan-1-amina: também chamada de isobutilamina, é uma amina primária que, quando em baixas concentrações, pode ser usada como sabor artificial de queijo ou peixe em alimentos.

Existem, ainda, diversos outros exemplos de aminas primárias, com cadeias com muitos átomos de carbono ou como os aminoácidos, por exemplo, que são constituídos de uma mistura de grupos funcionais orgânicos: o ácido carboxílico e a amina primária.
Amina secundária
Uma amina secundária ocorre quando dois hidrogênios da amônia são trocados por grupos R. Dessa forma, para identificar a estrutura de aminas secundárias, basta procurar por um NH entre duas cadeias carbônicas.

Exemplos de amina secundária
- Etil-metilamina: é uma amina secundária de fórmula molecular C3H9N, altamente corrosiva e inflamável.
- Dietilamina: com fórmula C4H11N, é uma amina secundária com odor característico de amônia, utilizada como precursora de diversos produtos como borrachas, resinas, corantes e fármacos.

Lembre-se de que, na hora de realizar a nomenclatura de aminas secundárias, se os substituintes diferirem, é preciso organizar eles em ordem alfabética.
Publicidade
Amina terciária
Por fim, uma amina terciária é aquela que tem todos os três hidrogênios da amônia substituídos por grupos R. Portanto, para identificar a estrutura de aminas terciárias, basta procurar por um nitrogênio tri-substituído.

Exemplos de amina terciária
- Trimetilamina: é uma amina terciária com cheiro extremamente desagradável. É a responsável pelo odor de peixe podre. Por conta de sua volatilidade, o cheiro provocado por essa substância é perceptível mesmo longe do foco.
- Trifenilamina: além de ser uma amina terciária, a trifenilamina é aromática, por conta dos grupos fenilos que substituem os hidrogênios da amônia. Seus derivados possuem característica de condutividade elétrica e eletroluminescência, por isso são usados em televisores OLED.

Como já comentado, existem inúmeros compostos da classe das aminas. Muitos deles presentes no cotidiano, em alimentos e bebidas, outros utilizados em processos químicos industriais e de laboratório, principalmente pelo caráter básico que os compostos da classe apresentam.
Vídeos sobre a amina
Agora que o conteúdo já foi apresentado, veja alguns vídeos sobre a classe das aminas para ajudar na assimilação do conhecimento
Amina é uma função nitrogenada
As aminas são compostos orgânicos derivados da amônia pela troca dos átomos de hidrogênio por cadeias carbônicas. Sendo assim, são do grupo das funções nitrogenadas. Saiba mais sobre essa classe de compostos e mais veja exemplos.
Apanhado geral sobre a amina
Como já comentado, as aminas podem ser classificadas conforme o número de hidrogênio da amônia que foi substituído. Veja isso, aprenda de uma vez por todas a fazer a nomenclatura de compostos dessa classe e muito mais nesse resumo sobre o tema.
Nomenclatura da amina
A nomenclatura de aminas é simples, basta nomear o radical que substitui o nitrogênio e adicionar o sufixo “amina” na frente. Veja, na prática, como fazer corretamente a nomenclatura dos compostos dessa classe, com bastante exemplo para treinar o nome de compostos orgânicos.
Em síntese, as aminas são compostos orgânicos nitrogenados derivados da amônia. Podem ser classificados como primária, secundária ou terciária, conforme o número de hidrogênio da amônia que foi trocado por uma cadeia carbônica. Não pare seu estudo por aqui, veja também sobre outros compostos orgânicos que contêm nitrogênio, as funções nitrogenadas.
Referências
Princípios de Química: Questionando a Vida Moderna e o Meio Ambiente (2005) – Peter Atkins e Loretta Jones
Química: a ciência central (1999) – Theodore L. Brown, Eugene H. LeMay, Bruce E. Bursten e Julia R. Burdge
Química Orgânica (1976) – T. W. Graham Solomons
Química Orgânica – Volume 1 (1987) – Paula Yurkanis Bruice
Por Lucas Makoto Tanaka dos Santos
Bacharel em Química pela Universidade Estadual de Maringá (UEM), mestrando em Química Analítica, com ênfase em desenvolvimento de métodos analíticos, metabolômica e espectrometria de massas no Laboratório de Biomoléculas e Espectrometria de Massas (LaBioMass), na mesma universidade.
Tanaka dos Santos, Lucas Makoto. Amina. Todo Estudo. Disponível em: https://www.todoestudo.com.br/quimica/amina. Acesso em: 25 de December de 2025.
1. [Cesgranrio-RJ]
No início de 1993, os jornais noticiaram que quando uma pessoa se apaixona, o organismo sintetiza uma substância – etilfenilamina, responsável pela excitação característica daquele estado. A classificação e o caráter químico desta amina são, respectivamente:
a) amina primária – ácido.
b) amina primária – básico.
c) amina secundária – neutro.
d) amina secundária – ácido.
e) amina secundária – básico.
Olhando a estrutura da etilfenilamina:

Percebe-se que se trata de uma amina dissubstituída, ou seja, secundária e de caráter básico. Portanto, a alternativa correta é a letra e) amina secundária – básico
2. [UNIOESTE]
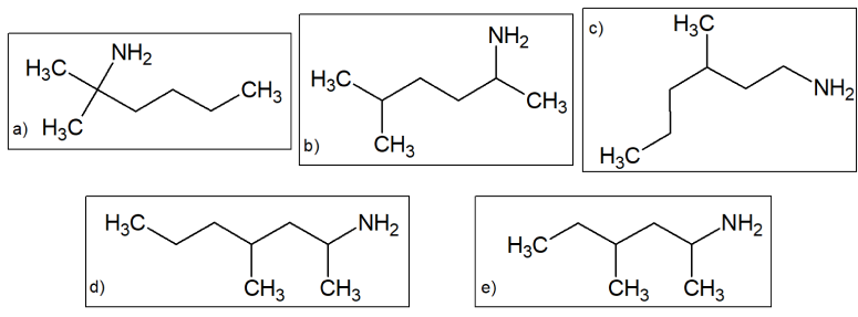
Recentemente, a ANVISA (Agencia Nacional de Vigilância Sanitária) proibiu a venda de suplementos alimentares que contenham a substância DMAA (dimetilamilamina) por suspeitas desta causar graves danos à saúde. A nomenclatura IUPAC do DMAA é 4-metil-hexan-2-amina. Assinale, dentre as alternativas abaixo, aquela que apresenta a estrutura correta desse composto.

A resposta correta é a letra e). A nomenclatura IUPAC de todas as alternativas é a seguinte:
a) 2-metil-hexan-2-amina.
b) 5-metil-hexan-2-amina.
c) 3-metil-hexan-1-amina.
d) 4-metil-heptan-2-amina.
e) 4-metil-hexan-2-amina.