O apótema é o segmento de reta que liga as extremidades de um polígono regular ao seu centro geométrico. Dessa maneira, ele pode ser usado em vários polígonos regulares. Por exemplo, o triângulo, quadrado e hexágono. Neste post, você vai ver a definição, a fórmula e muito mais sobre o apótema.
Publicidade
O que é apótema?
O apótema é, por definição, um segmento de reta. Em específico, é o que possui extremidades no centro geométrico de um polígono regular e um de seus lados. Contudo, isso deve acontecer apenas quando o segmento de reta for perpendicular ao lado.
Relacionadas

Além disso, é preciso notar que por diversas vezes a nomenclatura do apótema é usada de forma errônea. Ou seja, ela é usada como a menor distância entre o lado do polígono regular e o seu centro. Na verdade, o apótema é o segmento de reta, não a distância.
Fórmula do apótema
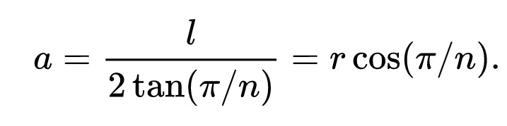
Considerando um polígono regular com n lados, o comprimento do segmento de reta que une o lado do polígono com o seu centro, é dado por:

- a: apótema do polígono regular
- l : lado do polígono
- n: número de lados do polígono regular
- r: raio do círculo circunscrito
Note que há, também, a presença de identidades trigonométricas. Por exemplo, a tangente e o cosseno. Elas são obtidas por meio da formação de um triângulo retângulo cujos lados são: o apótema, o lado do polígono e o raio do círculo circunscrito.
Publicidade
Exemplos de apótema
Cada um dos polígonos regulares possuem apótemas associados a eles. Dessa maneira, confira exemplos dos principais polígonos:
Apótema do triângulo

Nesse caso, o apótema também é a bissetriz e a altura de um triângulo equilátero. Além disso, nesse caso particular, o valor do segmento de reta que une o lado do triângulo equilátero e o seu centro geométrico pode ser calculado como a metade do raio da circunferência que circunscreve esse polígono.
Apótema do quadrado

Esse polígono fornece lados iguais. Dessa maneira, o menor segmento de reta que une seu centro geométrico e seus lados é metade da medida de um lado. Ou seja, a = l/2.
Publicidade
Apótema do hexágono

Em um hexágono regular, o lado e o raio circunscrito têm a mesma medida. Dessa maneira, a medida do segmento de reta perpendicular ao lado até o seu centro geométrico é dada por: a= r cos θ.
Todas essas relações podem ser encontradas a partir da fórmula do apótema ou das relações métricas para cada um desses polígonos regulares.
Vídeos sobre o apótema
As relações métricas e a geometria plana são conteúdos abstratos. Por isso, é preciso conhecer mais sobre eles. As videoaulas abaixo são recursos didáticos que podem ajudar nesses estudos:
Apótema e lado
O professor Paulo Pereira, do canal Equaciona, mostra como calcular o várias relações métricas de um polígono regular. Para isso, o docente elabora um macete que é fácil de compreender e de reproduzir. Ao fim do vídeo, o professor resolve exemplos de aplicação.
O que são polígonos regulares
Compreender quais são e as definições de polígonos regulares pode ser complicado. Nesse vídeo, o professor de matemática Paulo Pereira define o que e quais são os polígonos regulares. Além disso, o docente explica o que é inscrição e circunscrição.
Como calcular o apótema do hexágono
O cálculo e dedução do segmento de reta que liga o lado do hexágono e seu centro pode ser um dos mais complexos. Aqui, o professor Ítalo Benfica, do canal Matemática no Papel, ministra uma aula sobre esse tema. Além disso, ao fim da aula, é possível ver como aplicar os conhecimentos com um exercício.
O estudo da geometria plana fornece base para outros conceitos fundamentais da Matemática, por isso é importante conhecê-los bem. Dessa maneira, que tal avançar nos seus estudos e aprender sobre classifciação dos triângulos?
Referências
Geometria Analítica: Um tratamento vetorial (2004) – Paulo Boulos & Ivan Camargo.
Geometria Analítica (1995) – Alfredo Steinbruch & Paulo Winterle.
Vetores e geometria analítica (2014) – Paulo Winterle.
Por Hugo Shigueo Tanaka
Divulgador Científico e co-fundador do canal do YouTube Ciência em Si. Historiador da Ciência. Professor de Física e Matemática. Licenciado em Física pela Universidade Estadual de Maringá (UEM). Mestre em Ensino de Ciências e Matemática (PCM-UEM). Doutorando em Ensino de Ciências e Matemática (PCM-UEM).
Tanaka, Hugo Shigueo. Apótema. Todo Estudo. Disponível em: https://www.todoestudo.com.br/matematica/apotema. Acesso em: 22 de December de 2025.
1.
O que é o apótema?
a) O segmento de reta que liga as extremidades de um polígono regular ao seu centro geométrico.
b) É a medida do segmento de reta que liga as extremidades de um polígono regular ao seu centro geométrico.
c) É a medida da circunferência que circunscreve um polígono regular.
d) É a medida da circunferência que inscreve um polígono regular.
e) é o produto do perímetro pela área do polígono regular.
Alternativa correta: A
Por definição, apótema é o segmento de reta que liga as extremidades de um polígono regular ao seu centro geométrico.
2.
É muito fácil confundir a definição do apótema. Assinale a alternativa que representa essa confusão.
a) o segmento de reta que liga as extremidades de um polígono regular ao seu centro geométrico e a medida desse segmento.
b) o segmento de reta que liga as extremidades de um polígono regular ao seu centro geométrico e o perímetro do círculo circunscrito.
c) o segmento de reta que liga as extremidades de um polígono regular ao seu centro geométrico e o raio do círculo circunscrito.
d) o segmento de reta que liga as extremidades de um polígono regular ao seu centro geométrico e o raio do círculo inscrito.
e) o segmento de reta que liga as extremidades de um polígono regular ao seu centro geométrico e a circunferência do círculo inscrito.
Alternativa correta: A
Por definição, apótema é o segmento de reta que liga as extremidades de um polígono regular ao seu centro geométrico e não a medida desse segmento.