Força elétrica é o nome que se dá para a interação entre cargas elétricas. Essa lei pode ser calculada por meio da Lei de Coulomb para cargas elétricas. Além disso, essa relação matemática é proporcional ao inverso do quadrado da distância que une os corpos. Veja a seguir o que é, como calcular e sua relação com o campo elétrico.
Publicidade
O que é a força elétrica
A força elétrica é uma das quatro forças fundamentais da natureza. Ela se manifesta na presença de uma carga elétrica no espaço. Devido às interações entre os corpos carregados, atualmente convenciona-se uma relação de atração e repulsão para eles. Ou seja, corpos com cargas iguais se repelem e corpos com cargas opostas se atraem. Por exemplo, quando duas bexigas se atraem ou quando papel picado é atraído para uma caneta que foi atritada com flanela.
Relacionadas
História
Desde a antiguidade o ser humano conseguiu observar a eletrização de corpos. Por exemplo, na Grécia antiga, o atrito de uma resina âmbar com tecido atraía pequenas partículas. Esses e outros fenômenos foram observados por diversas civilizações e etnias ao longo da história humana.
Ao longo dos anos, o interesse humano pela eletricidade aumentou. No século XVIII, Benjamin Franklin observou a interação entre cargas elétricas entre corpos metalizados. Além disso, Franklin foi uma das pessoas que chegou à conclusão de que cargas de mesma natureza se afastam e que cargas de natureza oposta se atraem. É importante notar que, nessa época, não se falava em sinal de cargas elétricas. Essa nomenclatura é uma convenção moderna.
No ano de 1785, Charles Augustin Coulomb, com o uso de uma balança de torção e baseado nos estudos de Isaac Newton sobre a gravitação universal, chegou a uma relação matemática para a força elétrica. Essa relação é conhecida atualmente como Lei de Coulomb. Contudo, Coulomb partiu de uma analogia com a Lei da Gravitação de Newton, para chegar aos resultados teóricos. Além disso, ela também elaborou uma lei de força para a atração de polos magnéticos, a qual foi esquecida na História da Ciência.
Lei de Coulomb e como calcular
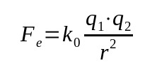
A lei de Coulomb foi baseada na lei da Gravitação Universal de Newton. Dessa forma, ela é uma relação matemática que depende do inverso do quadrado da distância entre os corpos. Isto é, a força é inversamente proporcional ao quadrado da distância entre os corpos. Matematicamente:
Publicidade

Em que:
- Fe: força elétrica (N)
- k0: constante dielétrica do vácuo (9 x 10 9 Nm²/C²)
- q1: carga elétrica 1 (C)
- q2: carga elétrica 2 (C)
- r: distância entre as cargas (m)
A constante k0, atualmente, é conhecida como a constante dielétrica do vácuo. Contudo, ela foi encontrada tomando como meio interagente o éter. Quando o resultado do experimento de Michelson e Morley não encontrou evidências para o éter, simplesmente alterou-se a nomenclatura da constante. Além disso, quando o meio entre as cargas não for o vácuo, o valor da constante muda.
Publicidade
Força elétrica e campo elétrico
Atualmente, a comunidade científica assume que a interação elétrica acontece por meio de entes matemáticos propostos teoricamente. Ou seja, os campos elétricos e magnéticos. Contudo, é contraintuitivo pensar que um ente físico, como as cargas elétricas, interage com um ente puramente matemático, como o campo.

Em que:
- E: campo elétrico (N/C)
- Fe: força elétrica (N)
- q: carga de prova (C)
É importante ressaltar que, apesar de ser dito que a interação entre cargas aconteça a distância, há um erro conceitual nessa afirmação. Afinal, a interação a distância deve acontecer puramente entre a matéria. Ou seja, cargas elétricas interagindo entre si. Porém, ao assumir a existência de um campo elétrico, essa interação passa a ser por contato. Porque uma carga está em contato com o campo elétrico, o qual interage com a outra carga.
Trabalho da força elétrica
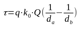
Toda força pode realizar trabalho. Com a força elétrica isso não é diferente. Para isso acontecer, é preciso que uma determinada carga se desloque em uma certa direção. Matematicamente:

Em que:
- τ: trabalho da força elétrica (J)
- k0: constante dielétrica do vácuo (9 x 10 9 Nm²/C²)
- q: carga de prova (C)
- Q: carga elétrica (C)
- da: distância do ponto a (m)
- db: distância do ponto b (m)
Note que, nesse caso, o trabalho pode ser entendido como a energia gasta para movimentar a carga elétrica que está sob a ação de um certo potencial elétrico.
Vídeos sobre a força elétrica
Compreender as bases do estudo da eletrostática é fundamental para o avanço nos estudos. Além disso, esse conteúdo pode parecer um pouco abstrato para algumas pessoas. Confira abaixo os vídeos selecionados para que não restem dúvidas sobre esse conceito:
Experimento sobre a Lei de Coulomb
Os professores Gil Marques e Claudio Furukawa realizam um experimento que ilustra a presença de uma força elétrica. Para isso, os docentes usam uma balança de torção construída com materiais de baixo custo. Esse ideia reproduzida em feiras de ciência, confira!
O que é a lei de Coulomb
A lei de Coulomb é a fundamental da eletrostática. Veja a explicação do professor Marcelo Boaro sobre esse conceito físico. Além disso, o docente também ensina quais são os termos que compõem a constante dielétrica do meio. Ao fim do vídeo, Boaro resolve um exercício de aplicação.
Trabalho da força elétrica
O trabalho da força elétrica é um conceito abstrato para ser compreendido. Afinal, essa grandeza não pode ser visualizada facilmente. Dessa maneira, na aula do professor Marcelo Boaro, há uma analogia com o trabalho da força peso para facilitar o entendimento do conteúdo.
O estudo da eletrostática é muito importante para a Física, como um todo. Além disso, o desenvolvimento dessa área foi um episódio muito importante da História da Ciência. Aproveite e estude sobre James Clerk Maxwell, um dos personagens que foram cruciais para a consolidação da eletrostática e do magnetismo.
Referências
Fundamentos Históricos e Experimentais da eletricidade (On-line) – André Koch Torres de Assis Disponível em: https://www.ifi.unicamp.br/~assis/Eletricidade.pdf. Acesso em 27 de out. 2021
Curso de eletrodinâmica de Weber (On-line) – Andre Koch Torres de Assis. Disponível em: https://www.ifi.unicamp.br/~assis/Curso-de-Eletrodinamica-de-Weber.pdf]. Acesso em 27 de out. 2021
Eletrodinâmica de Ampère (2011) – João Paulo Martins de Castro Chaib e André Koch Torres de Assis [sem link]
Por Hugo Shigueo Tanaka
Divulgador Científico e co-fundador do canal do YouTube Ciência em Si. Historiador da Ciência. Professor de Física e Matemática. Licenciado em Física pela Universidade Estadual de Maringá (UEM). Mestre em Ensino de Ciências e Matemática (PCM-UEM). Doutorando em Ensino de Ciências e Matemática (PCM-UEM).
Tanaka, Hugo Shigueo. Força elétrica. Todo Estudo. Disponível em: https://www.todoestudo.com.br/fisica/forca-eletrica. Acesso em: 02 de January de 2026.
1. [UFJF]
Duas esferas igualmente carregadas, no vácuo, repelem-se mutuamente quando separadas a uma certa distância. Triplicando a distância entre as esferas, a força de repulsão entre elas torna-se:
a) 3 vezes menor
b) 6 vezes menor
c) 9 vezes menor
d) 12 vezes menor
e) 9 vezes maior
Alternativa correta: C
Inicialmente, temos a seguinte força de atração entre as esferas
F = (k . Q1 . Q2)/d²
Quando triplicamos a distância entre elas, temos que d = 3d’, logo a nova força de atração será
F’ = (k . Q1 . Q2)/(3d’)²
F’ = (k . Q1 . Q2)/9d’²
Como F = (k . Q1 . Q2)/d²
então a nova força será
F’ = F/9
ou seja, será nove vezes menor.
2. [IF-sul]
Considere duas partículas eletrizadas, P1 e P2, ambas com cargas positivas e iguais, localizadas a 0,5 metros à esquerda e a 0,5 metros à direita da origem de um eixo X. Nesse eixo, sabe-se que não há influência de outras cargas.
Se uma terceira carga de prova for colocada na origem do eixo X, ela
a) ficará em repouso.
b) será acelerada para a direita.
c) será acelerada para a esquerda.
d) entrará em movimento retilíneo uniforme.
Alternativa correta: A
Como as cargas P1 e P2 são iguais, positivas e estão à mesma distância da origem, a carga de prova não se movimentará.