Sempre que comemos uma bala ou bombom, aquele sabor doce que sentimos é característico do açúcar presente nesses alimentos. O açúcar, conhecido também como sacarose, está presente em diversas plantas, de onde é extraído e convertido para a forma que utilizamos na cozinha. Vamos conhecer um pouco mais sobre a sacarose, que está tão presente em nossas vidas.
Publicidade
O que é e para que serve a sacarose?
A sacarose é um tipo de açúcar dissacarídeo encontrado em plantas, constituído de dois monossacarídeos (as moléculas mais simples dos carboidratos) ligadas por uma ligação glicosídica. É produzido comercialmente a partir de cana-de-açúcar – em países tropicais como o Brasil, onde a cana é cultivada com facilidade – ou de beterraba – em países onde o clima é mais ameno, como os da Europa.
Relacionadas
Em condições normais, a sacarose é um sólido branco cristalino que se dissolve muito bem em água e possui um sabor muito doce, motivo pelo qual passou a ser utilizado na culinária. As unidades que formam a sacarose são os monossacarídeos glicose e frutose.
Fórmula da sacarose
A fórmula molecular da sacarose é C12H22O11. Ela é formada pela condensação dos seus dois monossacarídeos constituintes, reação que acontece nas plantas. A condensação é um tipo de reação em que duas moléculas se juntam, resultando em uma molécula maior e na eliminação de uma molécula pequena – geralmente a água, como é o caso da condensação da sacarose.
Exemplos
O açúcar é encontrado de diferentes maneiras, cada uma com uma característica diferente que faz com que seja utilizado para diferentes finalidades. Vamos conhecer um pouco mais sobre algumas formas em que encontramos a sacarose.
- Açúcar mascavo: é o açúcar marrom, obtido em estágios intermediários do processo de produção do açúcar de mesa. Ele se forma quando o açúcar se cristaliza em um pó fino com o melaço presente na etapa, formando um pó marrom e úmido com um sabor característico do melaço e com um alto nível de nutrientes.
- Açúcar demerara: na etapa de produção, o açúcar demerara passa por um processo de refinamento mais leve que o açúcar refinado, obtendo, assim, uma coloração levemente amarelada e uma quantidade de nutrientes do melaço maior, assim como o mascavo.
- Açúcar refinado: é o açúcar branco comum, que passa por alguns processos químicos e físicos, como branqueamento e trituração dos cristais, deixando a cor destes branca e uniforme. Além disso, o fato de ser um pó fino facilita a sua dissolução na hora de usar no preparo de alimentos e bebidas.
- Açúcar cristal: o refinamento desse tipo de açúcar está entre o do demerara e o do refinado. Isso garante que os cristais tenham tamanho levemente maior do que os do açúcar refinado, tenham uma coloração levemente amarelada e sejam mais difíceis de serem dissolvidos em água, mas as demais propriedades são praticamente iguais.
São muitos os tipos de açúcares disponíveis e todos esses podem ser feitos em uma mesma linha de produção, retirando o produto desejável em diferentes estágios. Mas a regra é simples: quanto mais escuro, maior o nível nutricional do açúcar.
Publicidade
A hidrólise da sacarose
Os dissacarídeos, como a sacarose, podem sofrer um processo chamado de hidrólise, quando reagem com ácidos diluídos ou sob influência de uma enzima chamada invertase. Esse processo quebra a ligação glicosídica, separando a sacarose nas suas duas unidades (glicose e frutose), em proporções iguais. Essa reação é chamada de inversão da sacarose e resulta em um líquido muito mais doce do que a sacarose em si.
O açúcar invertido recebe esse nome por conta de suas propriedades óticas. Quando a sacarose é diluída em água – ou seja, quando não ocorre a quebra da ligação glicosídica -, ela tem a capacidade de desviar um tipo de luz polarizada para uma direção. Já uma solução de açúcar invertido tem a capacidade de desviar essa luz para a outra direção.
Vídeos sobre a sacarose
Agora que você já sabe mais sobre a sacarose, vamos complementar nosso conhecimento com alguns vídeos. Confira!
Publicidade
Um pouco mais sobre a sacarose
Nesse vídeo, conhecemos um pouco mais sobre a sacarose, quimicamente e historicamente. Além disso, vamos ver a maneira como ela age na nossa boca, fornecendo a sensação de doce ao ingerirmos.
Experiência com a sacarose
Como vimos, a fórmula molecular da sacarose apresenta uma grande quantidade de átomos de carbono. Com esse experimento, é possível observar a desidratação ácida (perda de água) do açúcar. O resultado é um bloco de carbono puro! Esse experimento é perigoso e deve ser realizado por pessoas qualificadas e devidamente equipadas.
Como vimos, a sacarose está muito presente no nosso cotidiano. Agora que já conhecemos um pouco de suas características e constituintes, que tal resolver alguns exercícios para colocar tudo isso em prática? Para continuar estudando, veja também nosso conteúdo sobre solubilidade.
Referências
ELTRE, Ricardo. Química geral – 1. São Paulo: Moderna, 2004.
NEGRIS, Thiago S. et al. Produção Industrial de Açúcar e Álcool.
SALVADOR, Edgard e USBERCO, João. Química, volume único. 1ª ed. São Paulo: Editora Saraiva, 2006.
Por Lucas Makoto Tanaka dos Santos
Bacharel em Química pela Universidade Estadual de Maringá (UEM), mestrando em Química Analítica, com ênfase em desenvolvimento de métodos analíticos, metabolômica e espectrometria de massas no Laboratório de Biomoléculas e Espectrometria de Massas (LaBioMass), na mesma universidade.
Tanaka dos Santos, Lucas Makoto. Sacarose. Todo Estudo. Disponível em: https://www.todoestudo.com.br/quimica/sacarose. Acesso em: 24 de February de 2026.
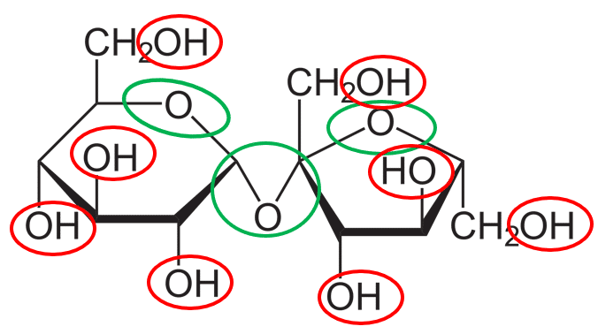
1. [IBMEC-RJ]
A sacarose (C12H22O11), também conhecida como açúcar de mesa, é um tipo de glicídio formado por uma molécula de glicose e uma de uma frutose produzida pela planta ao realizar o processo de fotossíntese.

De acordo com a sua fórmula estrutural, indique as funções na molécula de sacarose:
a) álcool e fenol
b) álcool e éter
c) álcool e cetona
d) cetona e álcool
e) éter e cetona

Em verde, três grupos éter (oxigênio entre dois átomos de carbono).
Em vermelho, oito grupos álcool.
Resposta certa: b) álcool e éter.
2.
A hidrólise da sacarose produz:
a) glicose
b) frutose
c) aldeído glicerino
d) glicose e frutose
e) manose
Resposta certa: d) glicose e frutose.