No estudo de análise combinatória, muitas vezes nos deparamos com produtos em que os termos são números naturais consecutivos. Para realizar este cálculo, é utilizado a notação fatorial. Assim, será estudado aqui sobre o que é o fatorial de um número e como se realiza seu cálculo.
Publicidade
O que é o fatorial de um número?
Em análise combinatória, encontramos arranjos, combinações e permutações. Em todas elas, a notação fatorial é utilizada para facilitar o cálculo, já que nesses casos são produtos consecutivos de números naturais. Em outras palavras, o fatorial de um número nada mais é do que a multiplicação sucessiva de vários números, facilitando os cálculos.
Relacionadas
A seguir, será apresentada a maneira de como se calcular o fatorial de um número natural.
Como é feito o cálculo do fatorial?
Quando agrupamos um produto extenso de números naturais, pode-se escrevê-los da maneira como é apresentado a seguir.

Alguns exemplos dessa forma do fatorial pode ser observada a seguir.
Publicidade

Nota-se que o fatorial de n na última expressão acima representa a multiplicação dos n primeiros números naturais positivos. Porém, a medida que n aumenta, o cálculo de n! se torna mais complexo. Para facilitar, pode-se utilizar a seguinte propriedade:
![]()
Publicidade
Um jeito melhor de entender essa propriedade é visualizando exemplos. Assim, serão apresentados em seguida alguns exemplos.

É possível de se encontrar em alguns exercícios utilizando frações com fatoriais. Para resolvê-las, podemos fazer a simplificação delas utilizando a propriedade mostrada anteriormente. Vejamos alguns exemplos.

O fatorial de um número, como já dito anteriormente, é importante para análise combinatória. Por isso, é indispensável o estudo sobre o fatorial.
Saiba mais sobre fatoriais
Para que todo o conteúdo que você estudou até aqui a respeito de fatorial seja bem fixado em sua mente, será apresentado logo abaixo algumas videoaulas sobre esse assunto!
O conceito de fatorial
Neste vídeo, serão apresentados os conceitos do fatorial de um número. Dessa forma, você compreendera melhor sobre o conteúdo!
Resumo sobre o conceito de fatorial
Caso você deseje ver apenas um resumo sobre o conceito de fatorial, aqui, neste vídeo, esse conceito é apresentado brevemente.
Exercícios resolvidos
Resolver exercícios sempre é de extrema importância na matemática. Pensando nisso, essa videoaula apresenta alguns exercícios resolvidos e, assim, você poderá ir muito bem nas provas!
Por fim, você pode utilizar os seus conhecimentos adquiridos em relação ao fatorial para aumentar seus conhecimentos sobre análise combinatória, deixando assim seus estudos mais completos.
Referências
IEZZI et al. Matemática: ciência e aplicações. Ensino Médio.
DANTE, Luiz Roberto. Matemática: contexto & aplicações. Ensino Médio.
Por Guilherme Santana da Silva
Graduado no curso de Física pela Universidade Estadual de Maringá. Professor assistente em um colégio de ensino médio e preparatório para os vestibulares. Nas horas vagas se dedica à vida religiosa, praticar mountain bike, tocar bateria, dar atenção à família e cuidar de suas duas gatinhas Penélope e Mel.
Santana, Guilherme. Fatorial. Todo Estudo. Disponível em: https://www.todoestudo.com.br/matematica/fatorial. Acesso em: 17 de February de 2026.
1.
Calcule o valor do fatorial

Podemos reduzir os fatoriais envolvidos e deixando apenas o fatorial de 7 da forma que está. Assim, temos que
3! = 3.2.1 = 6
9! = 9.8.7!
Logo

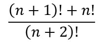
2. [UA-AM]
Simplifique a expressão:

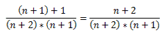
Podemos escrever a expressão da seguinte forma:

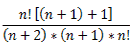
Como n! é fator comum no numerador, podemos coloca-lo em evidência. Dessa forma
![]()
Simplificando o n! do numerador com o do denominador, teremos que

Portanto, a expressão simplificada será:
![]()