Já está acostumado a resolver equações de primeiro e de segundo graus? Neste post, você vai aprender como resolver equações nas quais a incógnita está localizada no expoente e a base é um número real positivo diferente de 1: a equação exponencial. Acompanhe!
Publicidade
O que é equação exponencial
Para ser considerada uma equação, a expressão algébrica deve conter ao menos uma incógnita e uma igualdade. Uma equação exponencial deve apresentar a incógnita em um expoente, na qual as bases devem ser números reais positivos diferentes de 1. Ou seja, deve ser da seguinte forma:
Relacionadas

Note que a e b são números reais e x deve ser positivo e diferente de 1.
Propriedades da equação exponencial
Para resolver equações exponenciais, é preciso obter potências de mesma base. Para isso, é necessário relembrar algumas propriedades da potenciação, as quais ajudarão nas resoluções. Acompanhe:
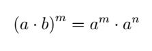
- Multiplicação de potências de mesma base: repete-se a base e somam-se os expoentes.
- Divisão de potências de mesma base: repete-se a base e subtraem-se os expoentes.
- Potência de potência: repete-se a base e multiplicam-se os expoentes.
- Potência do produto: a potência do produto é o produto das potências.
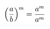
- Potência do quociente: a potência do quociente é o quociente das potências.
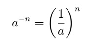
- Potência negativa: inverte-se a base e o expoente passa a ser positivo, desde que o denominador seja diferente de zero.
- Potência fracionária: quando o expoente é uma fração, pode-se escrever a operação na forma de radical. Assim, o denominador do expoente passa a ser o índice do radical, enquanto o numerador do expoente passa a ser o expoente do radicando.
- Igualdade de potências de mesma base: se duas potenciações têm a mesma base e são iguais, isso implica que os seus expoentes também sejam iguais.

Publicidade



Publicidade



Essas são as principais propriedades da potenciação, as quais serão úteis na resolução de uma equação exponencial.
Resolução de equação exponencial
Para resolver uma equação exponencial, é preciso organizar a expressão algébrica de modo a obter uma igualdade de potências com a mesma base.

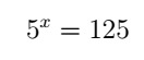
Nesse caso, é fácil perceber que 125 equivale a 53. Assim:

Com base em uma das propriedades da potenciação, obtemos que x = 3. Ou seja, se 5x= 53, podemos afirmar que x = 3.
Vídeos sobre equações exponenciais
Existem várias outras abordagens para a resolução de problemas que envolvam equações exponenciais. As videoaulas abaixo vão te ajudar a aprofundar ainda mais seu conhecimento desse assunto. Confira:
Equações exponenciais com bases diferentes
Como resolver equações exponenciais quando as bases são diferentes? Para isso, é necessário aplicar as propriedades dos logaritmos. Para aprender a resolver esse tipo de equação, veja o vídeo do professor Grings!
Resolução comentada de uma equação exponencial
Aqui, o professor Robson Liers resolve um exercício que envolve soma de potências e equações exponenciais. Esse tipo de expressão algébrica é muito cobrado em provas de grande escala, como Enem e vestibulares.
Função exponencial e equação exponencial
De que maneira a função exponencial se relaciona com a equação exponencial? Veja o vídeo do professor Ferretto para compreender melhor a relação entre esses dois conceitos matemáticos.
Para resolver todos os tipos de equação exponencial, que tal conferir também este conteúdo sobre logaritmos? Aproveite para aprender mais e bons estudos!
Referências
Pré-Calculo (2013) – Franklin D. Demana et al.
Um Curso de Cálculo – Volume 1 (2001) – Hamilton Luiz Guidorizzi
Por Hugo Shigueo Tanaka
Divulgador Científico e co-fundador do canal do YouTube Ciência em Si. Historiador da Ciência. Professor de Física e Matemática. Licenciado em Física pela Universidade Estadual de Maringá (UEM). Mestre em Ensino de Ciências e Matemática (PCM-UEM). Doutorando em Ensino de Ciências e Matemática (PCM-UEM).
Tanaka, Hugo Shigueo. Equação exponencial. Todo Estudo. Disponível em: https://www.todoestudo.com.br/matematica/equacao-exponencial. Acesso em: 15 de December de 2025.
1. [Mackenzie]
A soma das raízes da equação (4x)2x-1 = 64 é igual a:
a) -1/2
b) -1
c) 1/2
d) 1
e) 52
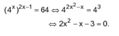
Aplicando as propriedades da potenciação, temos que:

Encontrando as raízes para a equação de segundo grau, obtemos: x’ = 3/2 e x” = -1.
Ao somar as duas raízes, encontramos o valor de 1/2.
Resposta correta: C
2. [Unesp]
Admita que o número de visitas diárias a um site seja expresso pela potência 4n, com n sendo o índice de visitas ao site. Se o site S possui o dobro de visitas diárias do que um site que tem índice de visitas igual a 6, o índice de visitas do site S é igual a:
a) 12
b) 9
c) 8,5
d) 8
e) 6,5
Sendo x o índice de visitas ao site S, temos:
4x = 2 · 46
Como 2 equivale à raiz quadrada de 4, podemos escrevê-lo como 41/2 = 40,5.
Assim,
4x = 40,5 · 46
Temos uma multiplicação de potências com a mesma base. Assim, repetimos a base e somamos os expoentes.
4x = 46,5
Como as bases são iguais, concluímos que x = 6,5.
Resposta correta: E