As câmeras fotográficas atuais foram possíveis graças a um conceito chamado de câmara escura. Aqui estudaremos sobre o que é uma câmara escura, qual seu objetivo e sua equação.
Publicidade
O que é a câmara escura?
Basicamente, a câmara escura é uma caixa de material opaco, com o orifício em uma das faces para que a luz possa entrar.
A princípio, a câmara escura foi desenvolvida pelos inventores da câmera fotográfica, porém existem relatos da utilização da câmara escura por Aristóteles para observações astronômicas e até mesmo por Leonardo Da Vinci.
Relacionadas
Qual é o seu objetivo?
O principal objetivo da câmara escura é comprovar o princípio da propagação retilínea da luz. Esse princípio permite que a luz entre pelo orifício e atinja o anteparo da câmara. Caso a luz não se propagasse em linha reta, isso não aconteceria.
Além disso, no passado, muitos estudiosos utilizaram esse experimento para medir o tamanho de objetos distantes.
Equação da câmara escura
Graças ao princípio da propagação retilínea da luz, podemos chegar em uma equação para a câmara escura. Tomemos como exemplo um esquema de uma câmara escura a seguir.

Publicidade
Colocando-se um objeto MN na frente do orifício, é possível gerar uma imagem M’N’ no fundo da câmara escura, sendo essa imagem invertida e menor que o objeto MN. Por conta da semelhança entre os triângulos MNO e M’N’O obtemos a seguinte equação:

- MN: Tamanho (altura) do objeto;
- M’N’: tamanho da imagem;
- p: distância do objeto ao orifício (distância do objeto à câmara);
- p’: distância do orifício à imagem (profundidade da caixa).
Essa expressão é conhecida como equação da câmara escura.
Publicidade
Experiência da câmara escura
Existem experimentos sobre a câmara escura que podem ser feitos em casa e outros tipos de câmara escura além daquela com orifício, comentada acima.
Câmara escura com lente
Aqui podemos observar como uma câmara escura com lente é feita e como ela funciona na prática!
Câmara escura com tubo de batata
Entenda aqui como fazer uma câmara escura com um tubo de batatas, além de uma breve explicação histórica sobre a câmara escura!
Como fazer uma câmara escura
Para uma melhor compreensão, apresentamos aqui um vídeo onde você aprende a fazer a sua própria câmara escura. Assim, nenhuma dúvida fica para trás!
Por fim, é importante revisar conceitos sobre os tipos de lentes. Esse assunto você pode encontrar aqui mesmo no site.
Referências
Física para o ensino médio, vol. 2: termologia, óptica e ondulatória – Kazuhito Yamamoto;
As faces da física – Wilson Carron.
Por Guilherme Santana da Silva
Graduado no curso de Física pela Universidade Estadual de Maringá. Professor assistente em um colégio de ensino médio e preparatório para os vestibulares. Nas horas vagas se dedica à vida religiosa, praticar mountain bike, tocar bateria, dar atenção à família e cuidar de suas duas gatinhas Penélope e Mel.
Santana, Guilherme. Câmara escura. Todo Estudo. Disponível em: https://www.todoestudo.com.br/fisica/camara-escura. Acesso em: 19 de February de 2026.
1. [Unicesumar-SP]
Uma pessoa de altura h coloca-se diante de uma câmara escura de orifício com o intuito de produzir, na face oposta ao orifício da câmara, uma imagem que corresponda a três quartos (¾) de sua altura. Sabendo que a câmara escura tem profundidade d, qual será a distância entre a pessoa e sua imagem?

a) (7.d) ÷ 3
b) (4.d) ÷ 3
c) (4.d.h) ÷ 3
d) (3.d.h) ÷ 4
e) (4.d) ÷ (3.h)
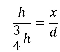
Considerando a semelhança de triângulos, temos que:

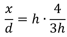
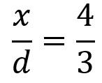
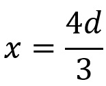
Vamos então isolar a variável x. Assim,



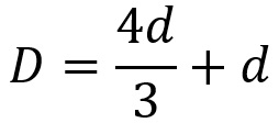
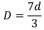
A distância D entre a pessoa e sua imagem é a soma de x com o tamanho da câmara. Logo
![]()
Substituindo x na equação acima, obtemos

Portanto

RESPOSTA: a)
2.
Um prédio de 50 m está posicionado frente a uma câmara escura de orifício de tamanho 6 cm. Sabendo que a imagem formada na câmara tem tamanho 3 cm, determine a distância entre o prédio e a câmara.
a) 300 m
b) 140 m
c) 160 m
d) 170 m
e) 100 m
Podemos relacionar as dimensões citadas de modo que a razão entre a altura H do edifício e a altura da vara é igual à razão entre o tamanho da sombra do prédio e o tamanho da sombra da vara. Sendo assim, temos:
50/3cm = D/6cm
Isolando D
D = 50∙6/3
D = 100 m
RESPOSTA: e)