O pêndulo é um sistema físico muito utilizado no nosso cotidiano. Veja aqui o que é um pêndulo, bem como alguns exemplos de uso prático dele. Vamos apresentar o pêndulo simples e como se calcula o período de um pêndulo simples.
Publicidade
O que é um pêndulo?

O pêndulo é constituído por um corpo preso em sua extremidade por um fio fixado verticalmente. As dimensões do corpo devem ser desprezíveis em relação ao comprimento desse fio. A figura acima representa a ideia de um pêndulo.
Relacionadas
Exemplos de pêndulo
Alguns objetos do nosso cotidiano podem ser identificados como pêndulos. Isso se deve ao fato de que eles possuem uma periodicidade em seu movimento. Em outras palavras, depois de um determinado tempo o objeto retorna ao seu ponto de partida e isso se repete eternamente, caso nada o detenha. A seguir serão apresentados alguns desses objetos
- Ponteiro de um relógio analógico: os ponteiros são fixados em um ponto e possuem um certo tamanho fixo. O ponteiro da hora demora 12 horas para completar uma volta, o dos minutos demora 60 minutos e o dos segundos, 3600 segundos para completar sua volta.
- Relógio de pêndulo: esse relógio possui um pêndulo que controla a medida do tempo a partir de suas oscilações.
- Balanço de criança: nesse brinquedo, alguém ou a própria pessoa dá movimento a ele, que sempre volta para o mesmo ponto de partida depois de certo período.
Pêndulo simples
Na física, os estudos de pêndulo são baseado no pêndulo simples. Isso se deve ao fato de que esse pêndulo possui um fio ideal e inextensível. Isso quer dizer que o fio do pêndulo não altera seu tamanho conforme o corpo realiza seu movimento. Vamos, a seguir, estudar um pouco desse pêndulo. Mostraremos quais as forças que agem no corpo, além de entendermos como se calcula o período de um pêndulo e sua energia durante as oscilações.
Forças em um pêndulo

Nesse caso, temos a força peso e a tração do fio agindo sobre o corpo. Além disso, se decompormos as forças, teremos que Px é a força restauradora que garante a continuidade do movimento. Por outro lado, na direção do centro da trajetória, temos a força centrípeta representada por T-Py. Essa última expressão representa a subtração do módulo do vetor tensão e do vetor Py.
Publicidade
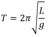
Fórmula para calcular o período no pêndulo simples

Podemos ver na fórmula do período de um pêndulo simples, mostrada acima, que esse período não depende da massa do corpo, apenas do comprimento do fio e da gravidade local. Isso quer dizer que, se alterarmos a massa que está presa a um pêndulo, mas mantivermos o tamanho do fio e o valor da gravidade, o período de oscilação continuará o mesmo.
Energia no pêndulo simples

Publicidade
Nos pontos A e B, teremos apenas energia potencial gravitacional. Quando o corpo sai, por exemplo, do ponto A até o ponto O, sua energia potencial começa a se transformar em energia cinética. Porém, quando o corpo chega ao ponto O, a energia que ele possui é apenas energia cinética.
Em resumo, podemos dizer que nos pontos A e B a energia potencial gravitacional é máxima e a cinética é nula. No ponto O ocorre o contrário, ou seja, a energia cinética é máxima e a potencial gravitacional é nula.
Para que você possa compreender ainda mais sobre o assunto, a seguir serão apresentadas algumas videoaulas sobre pêndulos!
Vídeos sobre pêndulos
Muitas são as dúvidas que encontramos ao estudarmos conteúdos novos. Mas para que nenhuma dúvida fique para trás, assista aos vídeos a seguir.
O pêndulo simples e seu período
Nesse vídeo, o professor Davi Oliveira apresenta uma rápida conceituação sobre o pêndulo simples, além de algumas aplicações da fórmula de seu período!
As forças que atuam em um pêndulo simples
Já nesse vídeo, temos o professor Marcelo Boaro apresentando como as forças agem durante o movimento de um pêndulo simples. Note que, nessa aula, o professor também fala sobre o pêndulo cônico, aprofundando ainda mais o assunto tratado aqui.
Exercícios resolvidos
Para que você possa ir muito bem nas provas, o professor Marcelo Boaro resolve nesse vídeo alguns exercícios sobre pêndulo simples!
Por fim, para entender bem este assunto, é importante que você revise sobre energia potencial gravitacional, energia mecânica e sobre as forças que atuam sobre um corpo!
Referências
As faces da física – Wilson Carron e Osvaldo Guimarães.
Física para o ensino médio, volume 1 – Kazuhito Yamamoto e Luiz Felipe Fuke.
Por Guilherme Santana da Silva
Graduado no curso de Física pela Universidade Estadual de Maringá. Professor assistente em um colégio de ensino médio e preparatório para os vestibulares. Nas horas vagas se dedica à vida religiosa, praticar mountain bike, tocar bateria, dar atenção à família e cuidar de suas duas gatinhas Penélope e Mel.
Santana, Guilherme. Pêndulo. Todo Estudo. Disponível em: https://www.todoestudo.com.br/fisica/pendulo. Acesso em: 13 de February de 2026.
1. [Fac. de Ciências da Saúde de Barretos-SP]
Em 1851, o francês Jean Bernard Foucault realizou uma experiência simples e engenhosa que demonstrou a rotação da Terra. No Panthéon de Paris, ele montou um pêndulo que oscilava com período de aproximadamente 16 segundos.

Abandonado da posição mostrada na figura 1, um pêndulo igual ao de Foucault passará pela terceira vez pela posição mostrada na figura 2 após um intervalo de tempo, em segundos, igual a
a) 12.
b) 24.
c) 28.
d) 16.
e) 20.
Ocorre uma oscilação completa quando o pêndulo é abandonado da posição inicial, vai até o ponto diametralmente oposto e retorna à posição inicial. Em uma oscilação completa, o pêndulo passa pelo ponto central duas vezes. A terceira passagem do pêndulo pelo ponto central ocorre em um tempo igual a ¼ do período total de oscilação, portanto, nesse caso, 4s. Logo, o tempo total para três passagens do pêndulo pela posição central é de uma oscilação mais ¼, ou seja, 20s.
RESPOSTA: e)
2.
Assinale o que for correto a respeito de pêndulos simples.
I – O período de oscilação completo ocorre quando o pêndulo sai da posição inicial e atinge o ponto diametralmente oposto.
II – A frequência de oscilação é diretamente proporcional ao comprimento do fio que compõe o pêndulo.
III – A energia mecânica no ponto mais baixo da trajetória é exclusivamente cinética.
IV – As dimensões do corpo preso ao fio são desprezíveis quando comparadas ao comprimento deste.
As afirmações verdadeiras são:
a) I e II
b) II e III
c) III e IV
d) IV e I
e) I e III
I – Errada: A oscilação completa ocorre quando o pêndulo retorna à sua posição inicial;
II – Errada: O período de oscilação é diretamente proporcional ao comprimento do fio. A frequência é inversamente proporcional ao comprimento do fio que compõe o pêndulo;
III – Correta: O comprimento do fio é a altura considerada. Sendo assim, no ponto mais baixo, não há altura, portanto, toda a energia associada à oscilação é do tipo cinética;
IV – Correta: O tamanho do fio é sempre maior que as dimensões do corpo que compõe o pêndulo.
RESPOSTA: c)