O que acontece se aproximamos um ímã de uma TV ou de um monitor de computador? Entenda aqui o fenômeno que ocorre devido ao surgimento de uma força magnética, saiba o que é essa força e como calculá-la, além de entender a relação entre força magnética, cargas elétricas e campo magnético. Além disso, temos algumas regras para ajudar na resolução de exercícios sobre o assunto!
Publicidade
O que é a força magnética
Uma partícula eletricamente carregada, em movimento, gera um campo magnético em sua vizinhança. Por sua vez, esse campo magnético pode influenciar o movimento de outras cargas isoladas ou de outras correntes. E é nessa interação que são geradas as forças magnéticas.
A força magnética não atua no mesmo plano de direção em que a carga se movimenta e nem ao do campo magnético. A partir disso, surge a ideia de uma abordagem tridimensional para a força magnética, que será discutida mais adiante.
Relacionadas
Como calcular a força magnética
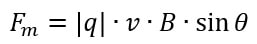
Para facilitar nossas equações, existe uma maneira de se calcular a intensidade da força magnética. A seguir você encontra a fórmula para o calculo do módulo da força magnética.
![]()
- Fm: força magnética;
- |q|: módulo de carga elétrica;
- v: módulo da velocidade da carga elétrica;
- B: campo magnético, em módulo;
- θ: ângulo entre os vetores velocidade e campo magnético.
Com a fórmula em mãos, conseguimos descobrir a intensidade da força magnética, bem como de qualquer outro componente da fórmula, desde que haja informações suficientes para a realização da equação.
Força Magnética sobre cargas elétricas
Uma carga eletrizada, ao entrar em um campo magnético uniforme, ela poderá seguir algumas trajetórias, que dependerá da posição entre o vetor velocidade e o vetor campo magnético. Logo abaixo são apresentadas algumas dessas trajetórias.
Publicidade
- Trajetória retilínea: quando os vetores velocidade e campo magnético forem paralelos entre si. Nesse caso, o ângulo entre eles será 0° ou 180°, assim, o seno desses ângulos é zero. Dessa forma, não existe força magnética agindo sobre a carga. Por inércia, a carga irá manter seu movimento retilíneo e uniforme;
- Trajetória circular: ocorre quando os vetores velocidade e campo magnético são perpendiculares entre si (ângulo de 90°). A força magnética neste caso age como sendo a força centrípeta do movimento circular uniforme.
- Trajetória helicoidal: ocorre quando as direções dos vetores velocidade e campo magnético são oblíquas entre si.
Força Magnética e campo magnético
Como vimos, a força magnética surge a partir da interação do campo magnético com cargas elétricas ou até mesmo com correntes elétricas em sua vizinhança. Podemos dizer que sem campo magnético não existiria a presença de uma força magnética. Por outro lado, existe a possibilidade da existência de uma interação de uma partícula carregada com um campo magnético onde não apareça uma força magnética, como foi visto anteriormente.
Regra
Para que possamos indicar qual é o sentido e a direção da força magnética, é utilizado um macete. Esse macete é conhecido como “regra da mão esquerda”. Podemos também utilizar a “regra da mão direita” para determinarmos a direção e o sentido da força magnética. Abaixo é apresentado e explicado essas duas regras.
Regra da mão esquerda

Publicidade
Para se utilizar essa regra, tendo em vista que queremos identificar a direção e sentido da força magnética, devemos seguir os seguintes passos:
- apontar o indicador na direção e sentido do vetor campo magnético;
- ajustar o dedo médio (se for preciso, girando a mão) na direção e sentido do vetor velocidade;
- identificar o sentido e direção da força magnética utilizando o polegar, caso a carga seja positiva; caso contrário, a força magnética terá sentido oposto.
Regra da mão direita

Para a regra da mão direita, é necessária que seguimos os seguintes passos:
- Apontamos quatro dedos da mão direita (excluindo o polegar) na direção e sentindo do vetor campo magnético;
- Em seguida, apontamos o polegar na direção e sentido do vetor velocidade; se necessário, girar a mão até o polegar se alinhar com o vetor velocidade;
- Por fim, o vetor força magnética terá direção e sentindo para onde a palma da mão direita estivar apontando.
Essas duas regras auxiliam, de uma forma visual e prática, resoluções de exercícios sobre a força magnética. Teste ambas em seus estudos e veja como funciona!
Vídeos sobre força magnética
Para que seus estudos possam ficar completos sobre o assunto estudado até aqui, será apresentado a seguir alguns vídeos, no qual você poderá tirar todas as suas duvidas!
Força magnética sobre cargas
Neste vídeo, você verá o que acontece quando a força magnética aparece sobre uma carga, além de uma explicação sobre a regra da mão esquerda e um exemplo resolvido!
Regra da mão direita
Para que você não se confunda com a regra da mão direita, este vídeo apresenta de uma maneira bem didática como se aplica essa regra!
Exercícios resolvidos
A prática leva a perfeição! Pensando nisso, esse vídeo apresenta a resolução de alguns exercícios sobre força magnética. Dessa forma você não irá se enroscar em questões na hora da prova!
Com a fórmula e regrinhas apresentadas, ficará fácil resolver seus exercícios de força magnética. Aprenda mais sobre campo magnético e complemente seus estudos.
Referências
As faces da física – Wilson Carron e Osvaldo Guimarães.
Física para o ensino médio, volume 3 – Kazuhito Yamamoto e Luiz Felipe Fuke.
Por Guilherme Santana da Silva
Graduado no curso de Física pela Universidade Estadual de Maringá. Professor assistente em um colégio de ensino médio e preparatório para os vestibulares. Nas horas vagas se dedica à vida religiosa, praticar mountain bike, tocar bateria, dar atenção à família e cuidar de suas duas gatinhas Penélope e Mel.
Santana, Guilherme. Força magnética. Todo Estudo. Disponível em: https://www.todoestudo.com.br/fisica/forca-magnetica. Acesso em: 31 de December de 2025.
1. [MED-ITAJUBÁ]
I. Uma carga elétrica submetida a um campo magnético sofre sempre a ação de uma força magnética.
II. Uma carga elétrica submetida a um campo elétrico sofre sempre a ação de uma força elétrica.
III. A força magnética que atua sobre uma carga elétrica em movimento dentro de um campo magnético é sempre perpendicular à velocidade da carga.
Aponte abaixo a opção correta:
a) Somente I está correta.
b) Somente II está correta.
c) Somente III está correta.
d) II e III estão corretas.
e) Todas estão corretas.
A afirmação I está incorreta pelo fato de a carga elétrica nem sempre sofrer ação de uma força magnética. Para uma carga elétrica lançada paralelamente as linhas de campo a força magnética será nula.
A afirmação II está correta, pois cargas elétricas lançadas em campos elétricos sempre sofrem a ação de uma força elétrica.
A afirmação III está correta, pois a força magnética é sempre perpendicular à velocidade da carga. Essa comprovação pode ser realizada através da regra do tapa.
RESPOSTA: d)
2. [PUC]
Um elétron num tubo de raios catódicos está se movendo paralelamente ao eixo do tubo com velocidade 107 m/s. Aplicando-se um campo de indução magnética de 2T, paralelo ao eixo do tubo, a força magnética que atua sobre o elétron vale:
a) 3,2 . 10-12N
b) nula
c) 1,6 . 10-12 N
d) 1,6 . 10-26 N
e) 3,2 . 10-26N
Como o campo magnético é paralelo a velocidade do elétron, então o ângulo entre eles será zero. Logo, pela fórmula da força magnética, temos que seu valor também será nulo.
RESPOSTA: b)