Tudo que conhecemos no que se trata de matéria, é formado, obrigatoriamente por moléculas que, por sua vez, são formadas por átomos, estes últimos compostos por três partículas elementares, que são os prótons, elétrons e nêutrons. Os átomos contam com um núcleo, que é onde estão localizados os nêutrons e os prótons, e a eletrosfera, onde estão localizados os elétrons, em órbita. Prótons e nêutrons apresentam massa praticamente igual, entretanto, os elétrons apresentam massa milhares de vezes menor, podendo esta ser representada por:
Publicidade
![]()
Carga elétrica
Chamamos de carga elétrica a propriedade física fundamental que determina as interações eletromagnéticas. A unidade de medida da carga elétrica, segundo o Sistema Internacional de Unidades, é o Coulomb, cuja representação é feita pela letra C. Nos corpos ao nosso redor, a carga elétrica está armazenada em grande quantidade, mas não podemos percebê-la tão facilmente. Para a física, existem dois tipos de carga, que são a positiva e a negativa e, quando em equilíbrio, são imperceptíveis. Diz-se, nessas situações em que há igualdade de cargas num corpo, que ele está neutro, sem nenhuma carga para interação com outros corpos.
Podemos dizer que um corpo está eletricamente carregado quando ele apresenta uma pequena quantidade de carga desequilibrada, ou ainda carga líquida. Os objetos que estiverem carregados eletricamente acabam interagindo e exercendo forças, podendo estas serem de repulsão ou atração um sobre os outros.
Entre as partículas elétricas existem as forças gravitacionais de atração em decorrência das massas e das forças elétricas entre as partículas. A força gravitacional é perceptível, somente, entretanto, quando há interação entre corpo de massas com grandes proporções. Como exemplo, podemos citar a Lua e a Terra.
Os prótons apresentam cargas positivas, enquanto os elétrons apresentam cargas negativas e os nêutrons apresentam carga neutra. Embora tenham sinais opostos, um próton e um elétron apresentam valores absolutos iguais, mas com sinais opostos. Chamamos de carga elétrica elementar o valor da carga de um próton ou um elétron, representando-os pela letra e. A carga elétrica elementar é a menor quantidade de carga que pode ser encontrada na natureza, tendo o valor de e = 1,6.10-19C.
Lei de Coulomb
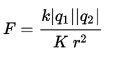
A lei de Coulomb determina que “A força de atração ou repulsão entre dois corpos carregados é diretamente proporcional ao produto de suas cargas e inversamente proporcional ao quadrado da distância”. Duas cargas elétricas pontuais de 1 coulomb, segundo a lei de Coulomb, quando separadas de um metro, exercem uma força de 9 x 109 N uma sobre a outra. Trata-se, portanto, de uma unidade de grandeza de ordem elevada, sendo necessário o uso de submúltiplos para determinações, como microcoulomb, representado por μC, ou nanocoulomb, representado por nC.
Publicidade
Força entre cargas
A força elétrica entre partículas com carga é proporcional ao inverso do quadrado da distância entre as partículas, mas a força elétrica exercida entre duas cargas com o mesmo sinal, é repulsiva, enquanto a força elétrica entre duas cargas com sinais opostos é atrativa. Segundo a Lei de Coulomb, o módulo da força elétrica entre duas cargas pontuais, é diretamente proporcional ao valor absoluto de cada uma das cargas, além de ser inversamente proporcional à distância ao quadrado.

Onde r é a distância entre as cargas, q1 e q2 são as cargas das partículas, k é a constante de Coulomb, e K éa constante dielétrica. A constante dielétrica, quando no vácuo, é igual a 1. A constante de Coulomb, segundo o Sistema Internacional de Unidades vale:

Campo elétrico
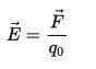
Uma carga elétrica acaba criando em torno de si mesma um campo de forças que atua sobre outras partículas com carga. Uma partícula com carga q0 num ponto onde existe um campo elétrico, terá como resultado uma força.
Publicidade
Se tivermos uma partícula com carga q0 em um ponto em que haja um campo elétrico, teremos como resultado uma força elétrica F. O campo elétrico se define como a força por unidade de carga:

Referências
Física – Volume único – Caio Sérgio Calçada, José Luiz
Por Natália Petrin
Formada em Publicidade e Propaganda. Atualmente advogada com pós-graduação em Lei Geral de Proteção de Dados e Direito Processual Penal. Mestranda em Criminologia.
Petrin, Natália. Carga Elétrica. Todo Estudo. Disponível em: https://www.todoestudo.com.br/fisica/carga-eletrica. Acesso em: 16 de December de 2025.
01. [FAFI – MG] Dizer que a carga elétrica é quantizada significa que ela:
a) só pode ser positiva
b) não pode ser criada nem destruída
c) pode ser isolada em qualquer quantidade
d) só pode existir como múltipla de uma quantidade mínima definida
e) pode ser positiva ou negativa
02. [Unitau – SP] Uma esfera metálica tem carga elétrica negativa de valor igual a 3,2 . 10-4 C. Sendo a carga do elétron igual a 1,6 10-19 C, pode-se concluir que a esfera contém:
a) 2 . 1015 elétrons
b) 200 elétrons
c) um excesso de 2. 1015 elétrons
d) 2 . 1010 elétrons
e) um excesso de 2 . 1010 elétrons
01. [D]
02. [C]