A eletrostática é o ramo da Física que estuda as interações entre cargas elétricas que estão em repouso mútuo. A seguir, apresentaremos a definição do termo e o modo como se relaciona com outros conceitos físicos, além das fórmulas utilizadas e de exercícios resolvidos sobre o assunto. Acompanhe:
Publicidade
O que é a eletrostática?
O termo “eletrostática” vem da união dos termos gregos elektron e statikos. O primeiro termo é a palavra grega associada ao âmbar, que é uma resina fossilizada que também deu origem à palavra “eletricidade”. Já o termo statikos significa parado, estacionário. Portanto, eletrostática é o estudo das interações entre cargas elétricas que estão em repouso entre si.
Relacionadas
Uma breve história da eletrostática
Os fenômenos eletrostáticos são conhecidos dos seres humanos desde vários séculos antes da Era Cristã. Na Grécia Antiga, no século VI a.C., o filósofo Tales de Mileto tentou explicar o fenômeno que ocorre quando o âmbar é atritado e atrai corpos leves. Também há relatos de indianos que aqueciam alguns cristais de modo que eles pudessem atrair cinzas.
William Gilbert descobriu que o efeito eletrostático não era exclusivo do âmbar. Ele viu que esse efeito também se manifestava em vidros, enxofres e outros compostos sólidos. No século XVII, Stephen Gray postulou que corpos condutores elétricos poderiam ser eletrizados, desde que estivessem isolados. Além disso, Charles Dufay percebeu que há dois tipos de eletricidade: a vítrea e a resinosa. A primeira é positiva e a segunda é negativa.
No ano de 1785, Charles Augustin Coulomb chegou a uma equação de força que relaciona a interação entre duas cargas em repouso mútuo entre si. Essa relação matemática depende do produto das cargas e é inversamente proporcional ao quadrado da distância que as une. É de extrema importância notar que a equação de Coulomb considera apenas a interação pura entre cargas, ou seja, a interação à distância. Não há campos elétricos interagindo com as cargas.
Força e energia eletrostática
Existem algumas equações fundamentais da eletrostática. A principal delas é a da força eletrostática, ou Lei de Coulomb. A partir dessa relação, é possível chegar à energia eletrostática.
Publicidade
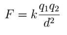
Força eletrostática
Após realizar experimentos, no ano de 1785, o cientista francês Charles Augustin Coulomb chegou a uma relação de proporção entre a força, a quantidade de carga interagente e o quadrado da distância entre as cargas. Matematicamente, essa equação é da seguinte forma:

- k: constante eletrostática (seu valor é 9 x 109Nm²/C²)
- q1 e q2: cargas elétricas (C)
- d: distância entre as cargas (m)
- F: força entre as cargas eletrostáticas (N)
A constante eletrostática (k) dependerá do meio no qual as cargas se encontram. Geralmente, assume-se que as cargas estão no vácuo e, então, usa-se o valor 9 x 109Nm²/C². Além disso, essa constante depende da permissividade elétrica do meio.
Publicidade
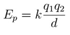
Energia potencial eletrostática
Quando há uma distribuição de cargas, há uma energia atribuída a tal configuração. Essa é a energia potencial eletrostática. Para duas cargas, a equação é a seguinte:

- k: constante eletrostática (seu valor é 9 x 109Nm²/C²)
- q1: carga elétrica (C)
- q2: carga elétrica (C)
- d: distância entre as cargas (m)
- Ep: energia potencial eletrostática (J)
Note que, diferentemente da força eletrostática, a energia eletrostática depende do inverso da distância que une as cargas.
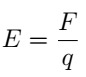
Campo elétrico
Para o eletromagnetismo clássico, há a existência de um ente puramente matemático que pode interagir com a matéria. Esse conceito é o conceito de campo. No caso da eletrostática, para compreender como uma carga única interage com o espaço, usa-se o conceito de campo elétrico.

- E: campo elétrico (N/C)
- F: força elétrica (N)
- q: carga de prova (C)
Para saber a interação de uma carga única com o espaço, calcula-se a interação entre a carga de prova e a carga da qual se deseja saber a intensidade do campo elétrico. Então, divide-se essa força eletrostática pelo valor da carga de prova.
Carga elétrica
A carga elétrica é uma propriedade fundamental da Física. Ela está presente em diversos corpos que nos rodeiam. Atualmente, a comunidade científica convencionou que existem dois tipos de carga elétrica: a positiva e a negativa.
Quando o corpo está em equilíbrio eletrostático, a soma das cargas sobre ele é nula. Além disso, a quantidade de carga em um corpo é um múltiplo da quantidade de elétrons daquele corpo. Ou seja, a quantidade de carga em um corpo é o valor da carga do elétron (1,6 x 10-19 C) multiplicado pelo número de elétrons em excesso que o corpo tem.
Fórmulas da eletrostática
Além das relações matemáticas para a força eletrostática, a energia eletrostática e o campo elétrico, também devemos mencionar os conceitos de potencial elétrico e de diferença de potencial. Confira:
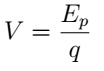
Potencial elétrico
O potencial elétrico é a medida da capacidade que uma carga elétrica tem de realizar trabalho. Matematicamente:

- V: potencial elétrico (V)
- Ep: energia potencial (J)
- q: carga elétrica de prova (C)
Diferença de potencial
Suponha dois pontos distintos colocados a distâncias diferentes a partir da carga geradora. Cada um desses dois pontos terá um potencial elétrico entre eles. A diferença de potencial (d.d.p.), matematicamente, é expressa da seguinte forma:

- U: diferença de potencial (V)
- Va: potencial elétrico no ponto A (V)
- Vb: potencial elétrico no ponto B (V)
A d.d.p. também pode ser chamada de tensão elétrica.
Onde a eletrostática é utilizada
A eletrostática está muito presente em nosso cotidiano. Além das pesquisas de base na Ciência, esse conceito físico também está presente na tecnologia. Acompanhe:
- Pintura automotiva: a pintura automotiva (e também de outros metais) funciona a partir da eletrostática. As partículas de tinta e a superfície a ser pintada ficam carregadas eletricamente com sinais contrários. Isso faz que a tinta seja atraída para a superfície e dá durabilidade à técnica.
- Impressões a laser: uma peça dentro da impressora é carregada positivamente. O laser descarrega a eletricidade em pontos específicos desse componente e cria desenhos por meio da eletrostática, a partir das informações enviadas pelo computador.
- Blindagem eletrostática: também conhecida como “Gaiola de Faraday”, a blindagem eletrostática é o fenômeno no qual o campo elétrico no interior de condutores é nulo. Alguns aparelhos eletrônicos possuem revestimentos metálicos para proteger os componentes mais sensíveis.
Os estudos da eletrostática também auxiliaram para o avanço científico e o desenvolvimento de áreas como o eletromagnetismo e a eletrodinâmica.
Vídeos sobre eletrostática
Agora, vamos aprofundar ainda mais nosso conhecimento. Veja as videoaulas selecionadas sobre eletrostática!
Introdução à eletrostática
Nesse vídeo, Marcelo Boaro inicia os estudos da eletrostática a partir de seus conceitos fundamentais: força eletrostática e carga elétrica. Confira!
Experimento sobre a Lei de Coulomb
Que tal assistir a um experimento que ilustra a Lei de Coulomb? Além disso, você pode aprender a montar esse experimento com os professores Gil Marques e Cláudio Furukawa.
Blindagem eletrostática
Seu celular já falhou dentro do elevador ou dentro de um estacionamento subterrâneo? Isso acontece devido à blindagem eletrostática. Entenda melhor sobre o assunto nesse vídeo!
Os conceitos da eletrostática são conhecidos pelos seres humanos há milhares de anos. Você pode aumentar seu conhecimento sobre o assunto com este conteúdo sobre processos de eletrização!
Referências
Física 3 (2016) – Hugh D. Young
Os Fundamentos Experimentais e Históricos da Eletricidade (2010) – André Koch Torres de Assis
Os Fundamentos Experimentais e Históricos da Eletricidade. Volume 2 (2018) – André Koch Torres de Assis
Por Hugo Shigueo Tanaka
Divulgador Científico e co-fundador do canal do YouTube Ciência em Si. Historiador da Ciência. Professor de Física e Matemática. Licenciado em Física pela Universidade Estadual de Maringá (UEM). Mestre em Ensino de Ciências e Matemática (PCM-UEM). Doutorando em Ensino de Ciências e Matemática (PCM-UEM).
Tanaka, Hugo Shigueo. Eletrostática. Todo Estudo. Disponível em: https://www.todoestudo.com.br/fisica/eletrostatica. Acesso em: 30 de November de 2025.
1. [IF-sul]
Considere duas partículas eletrizadas, P1 e P2, ambas com cargas positivas e iguais, localizadas a 0,5 metros à esquerda e a 0,5 metros à direita da origem de um eixo X. Nesse eixo, sabe-se que não há influência de outras cargas.
Se uma terceira carga de prova for colocada na origem do eixo X, ela
a) ficará em repouso.
b) será acelerada para a direita.
c) será acelerada para a esquerda.
d) entrará em movimento retilíneo uniforme.
Como as cargas P1 e P2 são iguais, positivas e estão à mesma distância da origem, a carga de prova não se movimentará.
Resposta correta: A
2. [Enem]
Em uma manhã ensolarada, uma jovem vai até um parque acampar e ler. Ela monta sua barraca próxima de seu carro, de uma árvore e de um quiosque de madeira. Durante sua leitura, a jovem não percebe a aproximação de uma tempestade com muitos relâmpagos.
A melhor maneira dessa jovem se proteger dos relâmpagos é:
a) entrar no carro.
b) entrar na barraca.
c) entrar no quiosque.
d) abrir um guarda-chuva.
e) ficar embaixo da árvore.
O carro, por ser metálico e ser um recinto fechado, possui o comportamento de uma Gaiola de Faraday. Dessa forma, não há campo elétrico em seu interior.
Resposta correta: A