Sabemos que é possível armazenar líquidos em vários tipos de recipientes, mas como podemos armazenar e liberar, de uma forma quase que instantânea, a carga elétrica? Entenda aqui como isso é possível a partir de um dispositivo chamado capacitor, além de saber quais são seus tipos, o que é capacitância e a associação de capacitores.
Publicidade
O que são capacitores?
Um capacitor é um equipamento elétrico que armazena cargas elétricas. Ele é constituído por duas placas condutoras denominadas armaduras que são separadas por um material dielétrico (material isolante). Este material isolante pode ser plástico, papel, óleo ou até mesmo o ar.
Relacionadas
O capacitor, em desenhos de circuitos elétricos, é representado de uma única maneira: por dois pequenos traços iguais e paralelos. A seguir, temos uma imagem para exemplificar essa representação de um capacitor.
![]()
Para que eles servem
Um capacitor pode ser utilizado em diferentes situações. Por exemplo, em flashs de câmeras, o capacitor é utilizado para armazenar carga elétrica e disparar essa carga muito rápido para acender uma lâmpada com alto poder de iluminação. Além disso, o capacitor pode ser utilizado como um filtro, deixando passar os sinais de alta frequência e impedindo-os de baixa frequência.
Outro exemplo de utilização dos capacitores são os rádios. Para que o rádio consiga sintonizar diferentes frequências, utiliza-se um capacitor variável. Este capacitor permite que sua capacitância varie dentro de determinada faixa de valores.
Publicidade
Tipos de capacitores
Existem três tipos mais conhecidos de capacitor: as placas paralelas e planas, os cilíndricos e os esféricos. A seguir, vamos entender como cada um destes capacitores é formado.
- Capacitor placas paralelas e planas: capacitores com duas placas paralelas e planas que possui um material dielétrico entre elas;
- Capacitor cilíndrico: possui um formato cilíndrico e um material dielétrico dentro deste formato. Uma placa em formato cilíndrico fica fora e outra dentro do capacitor em seu centro;
- Capacitor esférico: possui uma placa esférica no lado externo e uma interna também esférica. Entre elas, existe um material dielétrico.
A seguir, vamos compreender o que é a capacitância de um capacitor.
A capacitância
Temos por concepção que alguns objetos possuem certa capacidade de armazenamento, por exemplo, um balde d’água. Neste sentido, não seria apropriado para a eletricidade, porém antigamente acreditava-se que a eletricidade também era um fluido. Dessa forma, a capacitância é o quanto um capacitor pode armazenar a carga elétrica.
Publicidade
Fórmula
A capacitância, matematicamente falando, é definida como sendo a quantidade de um corpo eletrizado (Q) pela diferença de potencial entre as placas (V).

Em que,
- C: capacitância (F);
- Q: quantidade de carga elétrica (C);
- V: voltagem entre as placas do capacitor (V).
Em outras palavras, podemos dizer que se um condutor que armazena 1C (1 Coulomb) quando é sujeito a um potencial de 1V (Volt) ele possui uma capacitância de 1F (Farad), lembrando que a capacidade elétrica é sempre constante. A seguir, entenderemos como fazer uma associação de capacitores.
Associação de capacitores
Existe a possibilidade de fazermos associações de capacitores em um circuito elétrico. Existem duas formas de associarmos os capacitores: em série e em paralelo. Em série, trata-se da ligação de vários capacitores, iguais ou não, em sequência. A imagem a seguir mostra um exemplo disso.

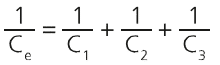
Nesta associação, a quantidade de carga Q se mantém a mesma, mas a diferença de potencial total é a soma da ddp de cada capacitor. Assim, temos que Vtotal = V1+V2+V3+…+Vn, sendo n a quantidade de capacitores em séries. Além disso, podemos escrever a capacitância equivalente da seguinte forma:

Quando n capacitores estão ligados de forma que as armaduras positivas estão de um lado e a negativa de outro. Então, essa ligação é chamada de associação em paralelo. Um exemplo pode ser visto a seguir.

Nessa configuração, temos que a voltagem é a mesma em todos os capacitores, porém a quantidade total de cargas elétricas Q é a soma da quantidade elétrica Q de cada resistor. No nosso exemplo, ficaria conforme a imagem a seguir.
![]()
Ainda continuando no nosso exemplo de associação em paralelo, temos que a capacitância equivalente é a soma da capacitância de cada capacitor. Dessa forma, teremos a seguinte fórmula, mostrada na imagem a seguir.
![]()
Vídeos sobre capacitores
Para que o conteúdo sobre capacitores fixe bem em sua memória, serão apresentadas a seguir algumas videoaulas sobre o assunto. Dessa maneira, você não terá nenhuma dificuldade nas resoluções de exercícios e em provas!
Uma aula sobre capacitores
Neste vídeo, é apresentado todo o conceito de capacitores. Assim, você pode revisar tudo o que foi estudado até aqui e aprender coisas novas que não foram estudadas no texto!
Aplicações de capacitores
Neste vídeo, apresentam-se algumas das aplicações dos capacitores no nosso cotidiano.
Aplicações de capacitores
Neste vídeo, são apresentadas algumas das aplicações dos capacitores no nosso cotidiano.
Associação de capacitores
A associação de capacitores é muito importante, pois muitos exercícios são em relação a ela. Dessa forma, são apresentados neste vídeo os dois tipos de associação de capacitores!
Por fim, é de extrema importância que você revise sobre circuito elétrico, eletricidade e energia elétrica, pois, assim, os seus estudos serão mais completos!
Referências
As faces da física – Wilson Carron e Osvaldo Guimarães.
Física para o ensino médio, volume 3 – Kazuhito Yamamoto e Luiz Felipe Fuke.
Por Guilherme Santana da Silva
Graduado no curso de Física pela Universidade Estadual de Maringá. Professor assistente em um colégio de ensino médio e preparatório para os vestibulares. Nas horas vagas se dedica à vida religiosa, praticar mountain bike, tocar bateria, dar atenção à família e cuidar de suas duas gatinhas Penélope e Mel.
Santana, Guilherme. Capacitores. Todo Estudo. Disponível em: https://www.todoestudo.com.br/fisica/capacitores. Acesso em: 30 de May de 2026.
1. [UFV-2005]
Duplicando-se a diferença de potencial entre as placas de um capacitor, é CORRETO afirmar que:
a) a carga e a capacitância do capacitor também são duplicadas
b) a carga e a capacitância do capacitor permanecem constantes
c) a carga do capacitor é duplicada, mas sua capacitância permanece constante
d) a carga e a capacitância do capacitor são reduzidas à metade dos valores iniciais
e) a carga do capacitor é duplicada, e sua capacitância é dividida pela metade
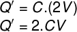
A capacitância de um capacitor sempre se mantém constante. Quando dobramos a voltagem entre as placas, a quantidade de carga elétrica Q é dobrada também. Vejamos a seguir de como isso é possível
![]()
RESPOSTA: c)
2.
Entre as placas dos capacitores, costuma-se inserir um material dielétrico preferencialmente ao vácuo. A inserção de um material dessa natureza entre as placas de um capacitor:
a) aumenta a sua capacitância por causa da sua maior permissividade elétrica
b) aumenta a sua capacitância, diminuindo a quantidade de cargas entre as suas placas
c) não afeta a sua capacitância
d) diminui a sua capacitância, por causa da sua maior permissividade elétrica
e) não afeta a formação do campo elétrico entre as placas do capacitor
a) VERDADEIRO – A constante de permissividade elétrica do vácuo é baixa – por isso, ao inserirmos um material dielétrico entre as placas do capacitor, aumenta-se a sua capacitância, já que é possível armazenar uma quantidade maior de cargas nesses materiais, para uma mesma diferença de potencial;
b) FALSO – O módulo da carga elétrica entre as placas pode aumentar, não diminuir;
c) FALSO – A capacitância aumenta ao inserirmos um meio dielétrico entre as placas do capacitor;
d) FALSO – A capacitância é afetada de modo que o seu valor aumente, uma vez que a inserção de um meio dielétrico entre suas placas aumenta a sua permissividade elétrica, em vez de diminui-la;
e) FALSO – A capacitância é afetada pela alteração da permissividade elétrica do meio, que é responsável por afetar a maneira como os campos elétricos se propagam em seu interior.