A aceleração centrípeta é responsável por manter um corpo em movimento circular. Ela é uma grandeza vetorial que aponta sempre para o centro da trajetória. Além disso, varia com o quadrado da velocidade. A seguir, confira a definição, como calcular e as diferenças dessa para outras grandezas físicas.
Publicidade
O que é a aceleração centrípeta
A aceleração centrípeta é uma grandeza física vetorial. Assim, ela é definida por seu módulo, sua direção e seu sentido. Além disso, ela sempre apontará para o centro da trajetória circular na qual o corpo se encontra.
Relacionadas
É importante notar que, diferentemente da aceleração linear, a centrípeta não caracteriza uma variação na velocidade, mas, sim, uma mudança na direção e no sentido da mesma. Por isso, o vetor da aceleração centrípeta é perpendicular ao vetor da velocidade linear de um determinado corpo.
Fórmula da aceleração centrípeta
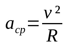
A aceleração centrípeta é diretamente proporcional ao quadrado da velocidade tangencial do corpo. Além disso, ela é inversamente proporcional ao raio da trajetória considerada. Matematicamente, sua fórmula é:

Em que:
Publicidade
- acp: aceleração centrípeta (m/s²)
- v: velocidade (m/s)
- R: raio (m)
Note que a unidade de medida é a mesma para todo tipo de aceleração. Ou seja, metro por segundo ao quadrado (m/s²).
Aceleração centrípeta X aceleração centrífuga
A aceleração centrífuga é a tendência dos corpos fugirem do centro de uma trajetória, entretanto, é um termo que deriva da força centrífuga. Essa, por sua vez, não é prevista na mecânica newtoniana. Dessa forma, quando o tratamento dado para um determinado fenômeno é feito segundo as leis de Newton, a aceleração centrífuga não é admitida.
Contudo, outras teorias, como a Mecânica Relacional, proposta pelo brasileiro André Koch Torres de Assis e seus colaboradores, prevê e explica matematicamente essa grandeza física.
Publicidade
Por fim, a aceleração centrípeta é responsável por manter os corpos em um movimento circular uniforme. Relembrando, ela não altera a velocidade escalar de um determinado corpo, apenas muda a sua direção.
Aceleração centrípeta X força centrípeta
Sempre que há aceleração atuando sobre um corpo, há uma força resultante sobre o mesmo objeto. Dessa forma, a força centrípeta é responsável por alterar a direção de um corpo que está em uma trajetória circular. Assim como a aceleração centrípeta, ela está sempre direcionada para o centro da trajetória.
Vídeos sobre aceleração centrípeta
Na hora de trabalhar com movimentos circulares, é importante conhecer as grandezas e os fenômenos envolvidos. Com a seleção de vídeos a seguir, aprofunde seus conhecimentos sobre o tema tratado até agora.
Grandezas angulares
O professor Marcelo Boaro explica as bases do movimento circular. Para isso, ele aborda as grandezas angulares e como elas se relacionam com as grandezas lineares. Dessa forma, é possível compreender o que é o movimento circular e outros conceitos pertinentes ao tema.
Força centrípeta
Um dos principais usos da aceleração centrípeta é na dinâmica dos movimentos circulares. Por isso, o professor Marcelo Boaro explica o que é a força centrípeta, retomando vários conceitos diferentes, entre eles, o de aceleração. Ao fim da aula, Boaro resolve um exercício de aplicação.
Movimento circular uniforme
O professor Davi Oliveira, do canal Física 2.0, explica os fenômenos do movimento circular uniforme. Uma das grandezas envolvidas é a aceleração responsável por manter o corpo em uma trajetória circular, ou seja, a centrípeta. Ao fim da aula, para fixar o que foi visto, o docente resolve um exercício sobre o conceito aprendido.
É comum confundir aceleração com velocidade. Entretanto, como visto nessa matéria, nem sempre esse pensamento é correto. Outro tipo de aceleração que deve ser considerado é a aceleração da gravidade.
Referências
Física I: Mecânica (2016) – Hugh D. Young et al. [sem link]
Física: Volume 1 (2008) – David Halliday et al.[sem link]
Curso de Física Básica: Volume 1 (2014) – Herch Moysés Nussenzveig. [sem link]
Por Hugo Shigueo Tanaka
Divulgador Científico e co-fundador do canal do YouTube Ciência em Si. Historiador da Ciência. Professor de Física e Matemática. Licenciado em Física pela Universidade Estadual de Maringá (UEM). Mestre em Ensino de Ciências e Matemática (PCM-UEM). Doutorando em Ensino de Ciências e Matemática (PCM-UEM).
Tanaka, Hugo Shigueo. Aceleração centrípeta. Todo Estudo. Disponível em: https://www.todoestudo.com.br/fisica/aceleracao-centripeta. Acesso em: 21 de December de 2025.
1.
A aceleração centrípeta é diretamente proporcional ______ e inversamente proporcional ______.
A alternativa que preenche corretamente as lacunas é:
a) à distância do centro; à massa do corpo.
b) à variação da velocidade; ao intervalo de tempo.
c) à massa do corpo; à aceleração linear.
d) ao quadrado da velocidade; ao raio da circunferência.
e) ao raio da circunferência; ao cubo da velocidade.
Alternativa correta: D
A aceleração centrípeta é diretamente proporcional ao quadrado da velocidade tangencial do corpo. Além disso, ela é inversamente proporcional ao raio da trajetória considerada.
2. [UFMG]
Devido a um congestionamento aéreo, o avião em que Flávia viajava permaneceu voando em uma trajetória horizontal e circular, com velocidade de módulo constante.
Considerando-se essas informações, é CORRETO afirmar que, em certo ponto da trajetória, a resultante das forças que atuam no avião é
A) horizontal.
B) vertical, para baixo.
C) vertical, para cima.
D) nula.
Alternativa correta: A
Como a curva é horizontal, a força resultante centrípeta, que é radial e dirigida para o centro da circunferência, também será horizontal.