O que é mais difícil de colocar em movimento, um carrinho de compras lotado ou um vazio? Para entendermos isso, é necessário estudarmos sobre a quantidade de movimento. Aqui veremos do que se trata, sua fórmula, o teorema do impulso e a conservação da quantidade de movimento.
Publicidade
O que é quantidade de movimento
De maneira geral, a quantidade de movimento de um corpo é a dificuldade que o corpo possui para atingir uma certa velocidade. Quanto maior for a massa deste corpo, maior será esta dificuldade. Este é o principal motivo que torna mais complicado se colocar em movimento um carrinho de compras cheios do que um vazio.
Relacionadas
A quantidade de movimento, por definição, é o produto da massa de um objeto pela sua velocidade. Em outras palavras:

Em que,
- Q: quantidade de movimento (Kg • m/s);
- m: massa do objeto (Kg);
- v: velocidade do objeto (m/s).
Como a velocidade é uma grandeza vetorial e a massa uma grandeza escalar, a quantidade de movimento é vetorial e só pode sofrer alterações se a velocidade do objeto sofrer algum tipo de alteração.
Publicidade
Impulso e quantidade de movimento
Quando um jogador de futebol chuta uma bola, ele aplica uma determinada força por um curto período de tempo para poder impulsionar essa bola para frente. Essa grandeza é chamada de Impulso e podemos defini-lá da seguinte forma:

Em que,
Publicidade
- I: impulso da força aplicada (N • s);
- F: Força aplicada sobre o objeto (N);
- ∆t: tempo em que a força foi aplicada (s).
Como sabemos, se a velocidade do objeto for alterada, então, a quantidade de movimento também é. Uma implicação direta disso é a relação entre impulso e quantidade de movimento que será apresentado no tópico seguinte.
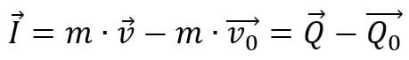
Teorema do impulso
O impulso de uma força aplicada em um objeto durante um intervalo de tempo possui o mesmo valor de sua variação, além de promover a mudança de sua quantidade de movimento. Em outras palavras, temos que o teorema do impulso pode ser representado matematicamente pela seguinte fórmula:

Conservação da quantidade de movimento
Quando a força resultante sobre um objeto for nula, então, não pode existir impulso sobre o corpo. Assim, a quantidade de movimento é mesma antes e depois. Desta forma, podemos considerar que houve conservação da quantidade de movimento de um sistema.
Uma aplicação direta disso são as colisões entre corpos. Na física, colisões são explicadas da seguinte maneira:
Chamamos de colisão ou choque mecânico qualquer interação entre objetos que se tocam enquanto um deles ao menos está em movimento e ambos têm alterados um ou mais atributos de seus vetores velocidade (módulo, direção e/ou sentido).
Exemplos
No nosso cotidiano encontramos várias situações onde podemos “enxergar” a quantidade de movimento de um objeto. Vamos, então, abordar algumas dessas situações a seguir.
Quantidade de movimento de uma bola
Há várias situações em que existe quantidade de movimento em uma bola. Algumas delas são um jogador de beisebol rebatendo uma bola, um jogador de bola chutando uma bola para o gol, uma bolinha de tênis sendo rebatida por uma raquete e entre vários outros.
Em todos estes casos, a bola possui uma quantidade de movimento antes da colisão, pois possui velocidade e uma outra quantidade de movimento após a colisão, pois a velocidade da bola pode aumentar ou diminuir.

Alguma vez em nossas vidas já vimos algum tipo de colisão entre automóveis, seja pela internet ou pessoalmente. Este tipo de colisão é explicado pela conservação da quantidade de movimento.
Antes da colisão, supondo dois carros colidindo, ambos os carros possuem uma certa quantidade de movimento. Após a colisão, eles podem ficar juntos ou colidirem e se separarem.
Além desses exemplos, existem muitos outros em nosso cotidiano que podem ser explicados pela quantidade de movimento.
Vídeo aulas sobre quantidade de movimento
Para que você possa entender melhor o conteúdo estudado até aqui e ir bem nas provas, apresentamos a seguir algumas vídeo aulas sobre quantidade de movimento!
Teoria e exemplos
Neste vídeo, é apresentado o conceito sobre quantidade de movimento e alguns exemplos para que você possa entender este conteúdo na prática!
Teorema do impulso
Além da quantidade de movimento, também é importante entender sobre o teorema do impulso. Com este intuito, trouxemos este vídeo com explicações sobre esse tema e alguns exemplos!
Exercícios resolvidos
Para que você arrase nas provas e tire as posíveis dúvidas, este vídeo contém alguns exercícios resolvidos sobre a quantidade de movimento e sua conservação!
Desta forma, encontramos muitos exemplos da aplicação da quantidade de movimento no nosso cotidiano. A física está em todo lugar! Entender este tema nos faz perceber a vida de uma forma diferente. Por fim, apresentamos a seguir alguns exercícios resolvidos para que você possa fixar mais ainda o que foi estudado até aqui.
Referências
Física para o ensino médio, vol. 1: mecânica – Kazuhito Yamamoto;
As faces da física – Wilson Carron.
Por Guilherme Santana da Silva
Graduado no curso de Física pela Universidade Estadual de Maringá. Professor assistente em um colégio de ensino médio e preparatório para os vestibulares. Nas horas vagas se dedica à vida religiosa, praticar mountain bike, tocar bateria, dar atenção à família e cuidar de suas duas gatinhas Penélope e Mel.
Santana, Guilherme. Quantidade de movimento. Todo Estudo. Disponível em: https://www.todoestudo.com.br/fisica/quantidade-de-movimento. Acesso em: 07 de December de 2025.
1.
Determine a quantidade de movimento de um objeto de massa de 5 kg que se move com velocidade igual a 30 m/s.
a) 6 kg.m/s
b) 30 kg.m/s
c) 150 kg.m/s
d) 15 kg.m/s
e) 60 kg.m/s
Primeiramente, devemos retirar as informações dadas pelo exercício. Sendo assim, temos:m = 5 kg; v = 30 m/s e Q = ?
Matematicamente, expressamos a quantidade de movimento como:
Q = m ∙ v
Substituindo os valores da massa e da velocidade, temos
Q = 5 ∙ 30
Q = 150 kg ∙ m/s
RESPOSTA: c)
2.
Em um clássico do futebol goiano, um jogador do Vila Nova dá um chute em uma bola aplicando-lhe uma força de intensidade 7102N em 0,1s em direção ao gol do Goiás e o goleiro manifesta reação de defesa ao chute, mas a bola entra para o delírio da torcida. A intensidade do impulso feito pelo jogador é igual a:
a) 50 N∙s
b) 120 N∙s
c) 60 N∙s
d) 70 N∙s
e) 40 N∙s
O impulso é calculado através da seguinte expressão: I = F.Δt
Logo, substituindo os valores obtemos
I = 7102∙0,1 = 70 N∙s
RESPOSTA: d)