Lente divergente é aquela que faz os raios de luz incidentes se afastarem. Ou seja, elas causam uma divergência dos raios incidentes. Esse tipo de lente costuma ser usado em óculos corretores da visão e até mesmo em câmeras fotográficas. Veja o que é, seus tipos, a formação de imagem e muito mais.
Publicidade
O que são lentes divergentes
As lentes divergentes são corpos compostos por duas superfícies refratoras. As quais possuem um eixo central comum. Além disso, elas possuem a capacidade de afastar os raios de luz incidentes do eixo central.
Relacionadas
Dessa forma, seu objetivo principal é fazer com que os raios luminosos que incidem sobre as lentes sejam afastados do eixo central. Esse tipo de lente pode ser usada para a correção de problemas da visão, em câmeras fotográficas ou binóculos. Por exemplo, as lentes para a correção da miopia são divergentes.
Tipos de lentes divergentes
Geralmente, as lentes divergentes são aquelas que possuem superfícies côncavas. Contudo, em casos especiais, as lentes convexas podem divergir à luz incidente. Isso acontecerá quando o índice de refração da lente convexa for menor que o índice de refração do meio.

Dessa forma, seguindo a ordem a imagem, os tipos de lente são:
- Biconvexa: são aquelas que possuem os ambos os lados convexos. Isto é, são lentes de bordas finas.
- Plano-convexa: essas lentes possuem uma superfície plana e outra convexa
- Convexo-côncava: uma das superfícies é convexa e a outra é côncava.
- Bicôncava: ambas as superfícies são côncavas. Isto é, são chamadas de lentes de bordas grossas.
- Plano-côncava: uma das superfícies é côncava e a outra é plana
- Côncavo-convexa: uma das superfícies deve ser côncava e a outra deve ser convexa.
A divergência ou convergência de cada tipo de lente dependerá dos índices de refração da lente e do meio no qual ela se encontra. Por isso, em certos casos, uma lente com superfícies convexas pode divergir à luz. Contudo, em condições normais, as lentes côncavas divergem à luz.
Publicidade
Como é a imagem de uma lente divergente?

Em todos os casos, a imagem de uma lente divergente é sempre virtual, direita e menor que o objeto. Ou seja, a imagem será virtual porque é formada pelo prolongamento dos raios incidentes. Além disso, ela é direita porque possui a mesma orientação do objeto. Por fim, ela terá um tamanho reduzido em relação ao objeto observado.
Além da observação experimental, é possível analisar matematicamente uma lente divergente.
Como calcular
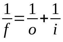
O cálculo das lentes é feito utilizando a equação de Gauss para a óptica geométrica. Dessa forma, ela dependerá da distância focal da lente, da distância do objeto até a lente e da distância da lente até a imagem. Matematicamente:
Publicidade

Em que:
- f: distância focal
- o: distância do objeto até a lente
- i: distância da lente até a imagem
Note que as unidades de medida devem ser iguais para os três termos. Ou seja, todas elas devem estar em metros ou centímetros, por exemplo. Além disso, é necessário notar que para medidas virtuais, seu valor será negativo. Dessa forma, para as lentes divergentes f < 0 e i < 0.
Lentes divergentes X lentes convergentes
As lentes divergentes são aquelas que afastam os raios luminosos do eixo principal. Por sua vez, as lentes convergentes aproximam os raios do eixo principal. Isso faz com que as imagens formadas em cada tipo de lente sejam diferentes.
Vídeos sobre lentes divergentes
O estudo da óptica geométrica deve ser feito com paciência e afinco. Afinal, o conhecimento não deve divergir. Por isso, assista aos vídeos selecionados e foque ainda mais o seu conhecimento sobre esse tema.
Tipos de lentes
O professor Marcelo Boaro ensina quais são os tipos de lentes. Para isso, o docente divide a classificação em duas etapas: quanto à nomenclatura e quanto ao comportamento óptico. Dessa forma, é possível diferenciar cada tipo de lente e seus usos no cotidiano. Ao fim da videoaula, o professor resolve um exercício de aplicação
Formação de imagens nas lentes
Ao estudar óptica, é importante saber como acontece a formação de imagens nas lentes. Por isso, o professor Marcelo Boaro ensina como as imagens se formam nos diferentes tipos de lentes. Além disso, Boaro também mostra quais são as características da imagem formada. Ao fim da aula, o docente resolve um exercício de aplicação.
Experimentos com lentes
Os professores Gil Marques e Claudio Furukawa fazem demonstrações experimentais sobre os diferentes tipos de lentes. Durante os experimentos, os docentes usam os dois tipos de lentes. Ou seja, convergentes e divergentes. Com isso é possível entender o comportamento dos raios luminosos ao incidirem em uma lente.
A óptica geométrica é um conteúdo muito cobrado em provas de grande escala. Por exemplo, os vestibulares e o Enem. Por isso, é preciso se aprofundar ainda mais nesse tópico. Dessa forma, agora estude sobre os espelhos esféricos.
Referências
Física IV: Óptica e física moderna (2016) – D. H. Young et al.
Física: Volume 4 (2008) – D. Halliday et al.
Curso de Física Básica: Volume 4 (2014) – D. H Nussenzveig.
Por Hugo Shigueo Tanaka
Divulgador Científico e co-fundador do canal do YouTube Ciência em Si. Historiador da Ciência. Professor de Física e Matemática. Licenciado em Física pela Universidade Estadual de Maringá (UEM). Mestre em Ensino de Ciências e Matemática (PCM-UEM). Doutorando em Ensino de Ciências e Matemática (PCM-UEM).
Tanaka, Hugo Shigueo. Lente divergente. Todo Estudo. Disponível em: https://www.todoestudo.com.br/fisica/lente-divergente. Acesso em: 23 de December de 2025.
1. [IF-Sul]
Uma pessoa pega o fundo de uma garrafa de vidro transparente que está quebrada e, através da base da garrafa, observa as coisas a sua volta, percebendo que elas parecem menores. A mudança no tamanho das imagens, devido aso raios de luz que passam pelo fundo dessa garrafa, permite que eles sofram
a) polarização.
b) refração.
c) uma diminuição na sua frequência.
d) o fenômeno de reflexão total ao passar do ar para o vidro.
Alternativa correta: B
O fundo da garrafa funciona como uma lente divergente, formando imagens virtuais, menores e direitas. Todavia, o fato dos raios de luz passarem pela garrafa caracteriza a refração. Esse fenômeno representa uma mudança na velocidade e no comprimento de onda, mantendo a frequência constante.
2.
Qual é a característica das imagens formadas por uma lente divergente?
a) real, invertida e maior.
b) virtual, invertida e menor.
c) virtual, direita e maior.
d) virtual, direita e menor.
e) real, direita e menor.
Alternativa correta: D
A imagem formada em uma lente divergente sempre será virtual, direita e menor que o objeto. Independente da posição do objeto.