Lançamento oblíquo ocorre quando um projétil tem seu movimento formando uma parábola com relação a um plano horizontal. Assim, de maneira geral, todo lançamento de projétil, feito na superfície terrestre, pode ser entendido como um lançamento oblíquo.
Publicidade
O que é o lançamento oblíquo
Lançamento oblíquo acontece quando um objeto é lançado a partir do solo. Além disso, esse tipo de movimento pode ser observado em lançamentos nos quais a posição de lançamento faz um certo ângulo em relação ao solo. Por exemplo, uma bola de futebol após ser chutada ou o salto de um atleta olímpico.
Relacionadas
Nesse tipo de lançamento, o objeto realiza dois tipos de movimento. Dessa forma, são eles: o movimento vertical e o movimento horizontal. Tais movimentos podem ser estudados separadamente, devido ao princípio de Galileu. Assim, o movimento vertical pode ser entendido como um lançamento vertical para cima. Enquanto isso, o movimento horizontal pode ser entendido como um movimento retilíneo uniforme (MRU).
Como calcular

O estudo do lançamento oblíquo é feito estudando separadamente o movimento vertical e o movimento horizontal. Assim, na vertical, usa-se as equações do lançamento vertical para cima. Além disso, na horizontal, usa-se as equações do MRU.
Alcance horizontal

- A: alcance horizontal (m)
- v: velocidade (m/s)
- t: tempo total do movimento (s)
- cosθ: cosseno do ângulo de lançamento
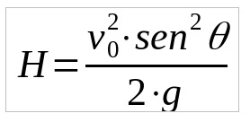
Altura máxima
A altura máxima é obtida a partir da equação de Torricelli para o lançamento vertical.
Publicidade

- H: altura máxima (m)
- v0: velocidade inicial (m/s)
- g: aceleração da gravidade (m/s2)
- senθ: seno do ângulo de lançamento
Note que a fórmula do movimento horizontal não depende da aceleração da gravidade. Isso acontece porque, na horizontal, o movimento é um MRU. Além disso, lembre que, no ponto de altura máxima, a velocidade vertical é nula.
Mapa mental
Preparamos um mapa mental para sintetizar todas as informações acerca do lançamento oblíquo. Confira:
Publicidade

O ângulo de alcance máximo é 45°. Além disso, lançamentos de ângulos complementares, possuem alcances iguais. Isto é, o alcance horizontal para os ângulos de 30° e 60° será o mesmo.
Vídeos sobre lançamento oblíquo
Selecionamos alguns vídeos para você se lançar nos estudos. Assim, esperamos que seu alcance seja máximo. Confira as videoaulas selecionadas:
Movimento de projéteis
O movimento é relativo. Dessa maneira, ele depende do referencial adotado. Nesse experimento, é possível observar que, em determinadas condições, um lançamento vertical para cima também pode ser interpretado como um movimento oblíquo.
Movimento oblíquo – parte 1
O professor Marcelo Boaro explica como acontece e como calcular o movimento oblíquo. Esse conteúdo é muito denso e, por isso, Boaro o dividiu em duas partes. Além disso, ao fim do vídeo, ele resolve um exercício de aplicação.
Movimento oblíquo – parte 2
O professor Marcelo Boaro continua a explicação do movimento oblíquo. Como esse conteúdo é muito denso, Boaro o dividiu em duas partes. Na segunda parte do vídeo, Boaro dá um tratamento vetorial a esse tipo de lançamento.
O movimento oblíquo é um campo da cinemática. Além disso, há um caso especial para esse tipo de movimento, que é o Lançamento horizontal, confira!
Referências
YOUNG, H. D. Física I: Mecânica. São Paulo: Addison & Wesley. 2016
NUSSENZVEIG, H. M. Curso de Física Básica: volume 1. Rio de Janeiro: Blucher. 2014
Por Hugo Shigueo Tanaka
Divulgador Científico e co-fundador do canal do YouTube Ciência em Si. Historiador da Ciência. Professor de Física e Matemática. Licenciado em Física pela Universidade Estadual de Maringá (UEM). Mestre em Ensino de Ciências e Matemática (PCM-UEM). Doutorando em Ensino de Ciências e Matemática (PCM-UEM).
Tanaka, Hugo Shigueo. Lançamento oblíquo. Todo Estudo. Disponível em: https://www.todoestudo.com.br/fisica/lancamento-obliquo. Acesso em: 29 de December de 2025.
1. [UEFS]
Em um planeta X, uma pessoa descobre que pode pular uma distância horizontal máxima de 20,0 m se sua velocidade escalar inicial for de 4,0 m/s. Nessas condições, a aceleração de queda livre no planeta X, em 10–1 m/s2, é igual a
a) 10,0
b) 8,0
c) 6,0
d) 4,0
e) 2,0
Alternativa correta: B
A partir da fórmula do alcance máximo:
A = v2 sen(2θ)/g
Substituindo os valores:
20 = 42 sen(2×45)/g
Note que o ângulo é 45° porque trata-se do alcance máximo.
Assim,
g = 0,8 ou 8×10–1 m/s2
2. [Fuvest]
Num dia ensolarado, com sol a pique, um jogador chuta uma bola, que descreve no ar uma parábola. O gráfico que melhor representa o valor da velocidade v da sombra da bola, projetada no solo, em função do tempo t, é:

Alternativa correta: E
A sombra da bola acompanhará apenas o movimento horizontal do objeto. Dessa forma, sua velocidade será constante.