Comprimento de onda é a medida da distância entre dois valores repetidos e sucessivos em uma onda. Ou seja, essa grandeza pode ser a distância entre dois picos ou dois vales, por exemplo. Veja o que é e como calcular o comprimento de onda. Além disso, selecionamos algumas videoaulas sobre esse assunto.
Publicidade
O que é o comprimento de onda

Comprimento de onda pode ser definido como a distância entre um ciclo de uma onda. Dessa forma, essa medida pode ser a distância entre dois máximos ou dois mínimos de um padrão de onda. Ou seja, a distância entre dois picos ou dois vales, respectivamente. Além disso, o tamanho da onda pode ser encontrado por meio do dobro da distância entre nós.
Relacionadas
Quantitativamente, o comprimento de onda possui uma relação inversa com a frequência. Ou seja, quanto maior for a frequência, menor será o valor do comprimento dessa mesma onda.
Como calcular o comprimento de onda
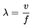
Para realizar o cálculo da distância entre um ciclo de uma onda é preciso partir da equação fundamental da ondulatória. Então, encontra-se que a distância entre um ciclo de uma onda é inversamente proporcional à sua frequência e é diretamente proporcional à sua velocidade. Assim, matematicamente:

Em que:
Publicidade
- λ: comprimento de onda (m)
- v: velocidade de propagação (m/s)
- f: frequência (Hz)
Caso se trate de uma onda eletromagnética, sua velocidade de propagação será a velocidade da luz. A qual possui valor constante e é, aproximadamente, igual a 3×108m/s. Além disso, a frequência da onda também pode ser medida em s-1, que é a mesma coisa que Hertz (Hz).
Vídeos sobre comprimento de onda
O estudo da ondulatória é de extrema importância. Por isso, compreender seus conceitos básicos é fundamental. Dessa maneira, para que não haja dúvidas e a frequência das notas altas seja ainda maior, selecionamos alguns vídeos sobre esse assunto. Confira!
A equação fundamental da ondulatória
Publicidade
O professor Marcelo Boaro explica a equação mais importante da ondulatória. Dessa forma, ele explica como relacionar frequência, velocidade de propagação e a distância entre os ciclos dessa mesma onda. Ao fim da videoaula, Boaro resolve um exercício de aplicação.
O que é uma onda
A explicação do que é uma onda pode ser complicada. Além disso, sua definição mudou ao longo do tempo. Por isso, Pedro Loos, do canal Ciência Todo Dia, explica a definição atualmente aceita para uma onda.
A natureza ondulatória da luz
A luz se comporta como onda e como partícula ao mesmo tempo. Contudo, isso não foi um conceito que sempre foi aceito pela comunidade científica. Por isso, Hugo Tanaka, do canal Ciência em Si, explica como era a concepção da natureza ondulatória da luz no século XIX.
O comprimento de uma onda é relacionado às suas características físicas. Além disso, as ondas podem ser classificadas de várias maneiras. Uma delas é a classificação quanto à natureza. Dentre essas classificações, uma delas são as ondas mecânicas.
Referências
YOUNG, H. D. et al. Física II: Termodinâmica e ondas. São Paulo: Addison & Wesley. 2016
HALLIDAY, D. et al. Física: Volume 2. Rio de Janeiro: Pearson. 2008
NUSSENZVEIG, H. D. Curso de Física Básica: Volume 2. Rio de Janeiro: Blucher. 2014 
 
				Por Hugo Shigueo Tanaka
Divulgador Científico e co-fundador do canal do YouTube Ciência em Si. Historiador da Ciência. Professor de Física e Matemática. Licenciado em Física pela Universidade Estadual de Maringá (UEM). Mestre em Ensino de Ciências e Matemática (PCM-UEM). Doutorando em Ensino de Ciências e Matemática (PCM-UEM).
Tanaka, Hugo Shigueo. Comprimento de onda. Todo Estudo. Disponível em: https://www.todoestudo.com.br/fisica/comprimento-de-onda. Acesso em: 31 de October de 2025.
1. [UFMG]
Uma pessoa toca no piano uma tecla correspondente à nota mi e, em seguida, a que corresponde a sol. Pode-se afirmar que serão ouvidos dois sons diferentes porque as ondas sonoras correspondentes a essas notas têm:
a) amplitudes diferentes
b) frequências diferentes
c) intensidades diferentes
d) timbres diferentes
e) velocidade de propagação diferentes
Alternativa correta: B
O que diferencia as notas musicais são seus comprimentos de onda e, consequentemente, suas frequências.
2. [Mackenzie]
As antenas das emissoras de rádio emitem ondas eletromagnéticas que se propagam na atmosfera com a velocidade da luz (3,0×105 km/s) e com frequências que variam de uma estação para a outra. A rádio CBN emite uma onda de frequência 90,5 MHz e comprimento de onda aproximadamente igual a:
a) 2,8 m
b) 3,3 m
c) 4,2 m
d) 4,9 m
e) 5,2 m
Alternativa correta: B
A partir dos dados fornecidos pelo exercício, é possível encontrar o comprimento de onda. A qual é: λ = v/f
Substituindo os valores, obtemos:
λ = 3×108/90,5×106
λ = 3,3 m