Nascido no ano de 1590, Albert Girard foi um matemático belga que, em seus estudos, estabeleceu relações de soma e produto entre as raízes de uma equação de segundo grau. Inúmeros matemáticos, no século XVII, desenvolveram estudos objetivando estabelecer relações existentes entre as raízes e os coeficientes das equações quadráticas, entretanto se deparavam com um grande obstáculo, que eram os números negativos resultantes de raízes. Girard foi quem conseguiu desenvolver um método que estabelecia essa relação, inclusive com números negativos.
Publicidade
Se considerarmos uma equação de segundo grau ax² + bx + x = 0, temos os coeficientes a, b e c como números reais, sendo que a é diferente de 0. De acordo com a expressão resolutiva das equações de segundo grau, temos que as raízes encontradas nessa equação são:

Diante disso, temos que a soma entre as raízes seria dada por:
![]()
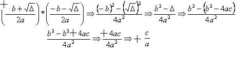
E por fim, o produto entre essas raízes é dado por:

Publicidade
Entretanto, não é somente para encontrarmos a soma e o produto das raízes que podemos usar as relações de Girard. Essas são usadas ainda para que seja possível compor equações do segundo grau. Estas, são representadas por x² – Sx + P = 0, considerando que S representa a soma e P representa o produto. Confira os exemplos a seguir para compreender melhor essa questão:
Considere as raízes 2 e -5, e determine a equação do segundo grau que as possui.
Soma: S = x1 + x2
2 + ( -5)
2 – 5
– 3
Publicidade
Produto: P = x1 . x2
2 . (-5)
-10
Dessa forma, temos que:
X² – Sx + P = 0
X² – (-3)x + (-10) = 0
X² + 3x – 10 = 0
Com isso, portanto, concluímos que é possível encontrar a equação por meio dessa relação. Nesse caso, a equação buscada é x² + 3x – 10 = 0.
Referências
Matemática – Kátia Stocco Smole, Maria Ignez Diniz
Por Natália Petrin
Formada em Publicidade e Propaganda. Atualmente advogada com pós-graduação em Lei Geral de Proteção de Dados e Direito Processual Penal. Mestranda em Criminologia.
Petrin, Natália. Relações de Girard. Todo Estudo. Disponível em: https://www.todoestudo.com.br/matematica/relacoes-de-girard. Acesso em: 05 de April de 2026.
01. [EEM–SP] Dada a equação x³ – 9x² + 26x + a = 0, determine o valor do coeficiente a para que as raízes dessa equação sejam números naturais sucessivos.
02. [ENEM] De acordo com a equação 4x³ + 2x² – x – 3 = 0, determine as relações de Girard envolvendo as raízes x1, x2 e x3.
01.

02.
