Expoente negativo

O cálculo de números com expoente negativo pode parecer complicado, mas com algumas dicas pode ser facilmente solucionado.

Quando estudamos potenciação, aprendemos que a regra básica e mais simples para conseguir calcular, é multiplicar a base por ela mesma, quantas vezes o expoente indicar, certo? Se tivermos o número 25, portanto, devemos multiplicar da seguinte forma: 2 . 2 . 2 . 2 . 2 = 32. Já deu para relembrar, não é mesmo? Mas e como fica essa conta quando nos deparamos com um expoente negativo? Como seria, por exemplo, resolver a potência 2-5?

Publicidade

Quando estamos falando de potência negativa, ou seja, potência com valor inferior a zero, temos algumas regras que podem nos ajudar. Confira abaixo.

Como resolver potência com expoente negativo?

Para resolver potências com expoentes menores que zero, podemos seguir o seguinte exemplo. Considere a potência x-y, onde tanto x quanto y são números reais. O resultado é igual ao inverso de x elevado a y. Vamos, antes de mais nada, compreender o que é o inverso de um número, para evitar confusões. Certo?

Quando falamos no inverso de um número, estamos falando da fração cujo numerador é 1, e o denominador é o próprio número. Por exemplo, o inverso de 2 é ½. Mas como saber qual é o inverso de uma fração? Vamos considerar a fração 1/2: nesse caso, para encontrar seu inverso, temos que colocar a fração como denominador, considerando o numerador o 1, e faremos uma simples divisão de fração:

Existe, entretanto, uma dica que pode facilitar, e muito, o processo. Inverta a fração, trocando o denominador com o numerador. Por exemplo, o inverso da fração 1/5 é 5/1, ou simplesmente 5.

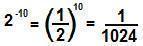
Tendo entendido isso, vamos voltar ao questionamento deste artigo, sobre os expoentes negativos. Quando queremos calcular o valor de 2-10, temos que seguir o seguinte raciocínio:

Publicidade

Fizemos, acima, a inversão de 2-10 para, então, calcular o valor.

Publicidade

Referências

Matemática – Gelson Iezzi, Osvaldo Dolce, David Degenszajn, Roberto Périgo

Natália Petrin
Por Natália Petrin

Formada em Publicidade e Propaganda. Atualmente advogada com pós-graduação em Lei Geral de Proteção de Dados e Direito Processual Penal. Mestranda em Criminologia.

Como referenciar este conteúdo

Petrin, Natália. Expoente negativo. Todo Estudo. Disponível em: https://www.todoestudo.com.br/matematica/expoente-negativo. Acesso em: 09 de April de 2026.

Teste seu conhecimento

01. [FEI-SP] O valor da expressão A = (-2) + (-3) x (-2)-1:(-3) é:

a) 1
b) -5/6
c) -5/3
d) -5/2

 

02. [FEI-SP] O valor da expressão B = 5 . 108 . 4 . 10-3 é:

a) 206
b) 2 . 106
c) 2 . 109
d) 20 . 10-4

01. [D]

02. [B]

Compartilhe

TOPO