O som é uma onda sonora que se propaga apenas em meios materiais. Sua velocidade depende do meio em que está sendo propagada, sendo a velocidade do som no ar, a uma temperatura de 20°C, é igual a 343m/s ou 1234,8km/h. Entenda aqui como se calcula essa velocidade, o som em diferentes meios e algumas caracteristicas da velocidade do som.
Publicidade
Fórmula da velocidade do som
Existe duas maneiras de se calcular a velocidade do som. A primeira pode ser feita a partir da equação fundamental da ondulatória apresentada a seguir.
Relacionadas
![]()
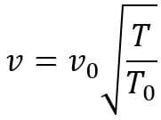
Esta fórmula é utilizada quando se conhece o comprimento de onda (λ) e a frequência (f). A segunda fórmula se aplica aos casos em que a velocidade do som depende da temperatura do meio onde está se propagando.

Em que:
Publicidade
- v: velocidade do som (m/s);
- v0: velocidade do som a 0°C. Seu valor é de 331,45m/s;
- T: temperatura ambiente (K);
- T0: temperatura correspondente de 0° na escala absoluta.
O som em diferentes meios
Como visto anteriormente, a velocidade do som depende de alguns fatores, por exemplo, o meio em que está se propagando e a temperatura. Veremos a seguir uma tabela com a velocidade do som em alguns meios diferentes.

- Velocidade do som na água: na água, o som se propaga mais rápido devido a maior “elasticidade” dela em relação ao ar.
- Velocidade do som no vácuo: o som não se propaga no vácuo, pois não existe um meio material para ele se propagar;
- Velocidade do som na atmosfera: em altas altitudes – como a altura de cruzeiro dos aviões comerciais (10000 metros) -, a velocidade do som diminui, pois a temperatura é baixa.
Vamos agora entender algumas características do som.
Publicidade
Características do som
As ondas sonoras possuem algumas características próprias, por ser uma onda. Dessa forma, serão apresentadas a seguir algumas dessas características.
O som é audível para o ser humano está contido em uma faixa de frequências que corresponde de 20Hz até 20kHz. Frequências inferior a 20Hz são chamadas de infrassom e acima de 20kHz são denominadas ultrassom.
Além disso, o som possui timbre, intensidade e altura. É o timbre que nos permite distinguir diferentes fontes sonoras. A intensidade está relacionada com o volume do som. A altura nos ajuda a identificar se um som é agudo ou grave.
Como o som é uma onda, ela é classifica como sendo uma onda mecânica, longitudinal e tridimensional.
O som pode ser utilizado em aparelhos que nos ajudam em algumas atividades. Por exemplo, o sonar utiliza o ultrassom para identificar peixes em lagos, rios e mares.
Ele também possui frequência e comprimento de onda. Isso se deve ao fato de que o som é uma forma de onda.
Escutamos sons de todos os lados e a todo momento. É utilizado também de várias formas, desde música até sonares em barcos e navios.
Vídeos sobre velocidade do som
Para que seus estudos possam render mais ainda, serão apresentadas algumas videoaulas a seguir sobre o assunto estudado até aqui!
Como uma onda sonora se propaga em um meio material!
Neste vídeo, é apresentado como a onda sonora se comporta em um meio material!
Propriedades da velocidade do som
Aqui é apresentado algumas características sobre a velocidade do som!
Qualidades fisiológicas do som
Entenda aqui as qualidades fisiológicas do som e o que cada uma delas representam!
Por fim, é importante que você revise o conteúdo sobre ondas sonoras e acústica!
Referências
As faces da física – Wilson Carron e Osvaldo Guimarães.
Física para o ensino médio, volume 3 – Kazuhito Yamamoto e Luiz Felipe Fuke.
Por Guilherme Santana da Silva
Graduado no curso de Física pela Universidade Estadual de Maringá. Professor assistente em um colégio de ensino médio e preparatório para os vestibulares. Nas horas vagas se dedica à vida religiosa, praticar mountain bike, tocar bateria, dar atenção à família e cuidar de suas duas gatinhas Penélope e Mel.
Santana, Guilherme. Velocidade do som. Todo Estudo. Disponível em: https://www.todoestudo.com.br/fisica/velocidade-do-som. Acesso em: 28 de December de 2025.
1.
Marque a alternativa correta a respeito das ondas sonoras.
a) O som é um tipo de onda mecânica, bidimensional e longitudinal. As ondas sonoras propagam-se mais rápido em meios gasosos do que em meios sólidos.
b) O som é um tipo de onda mecânica, tridimensional e longitudinal. As ondas sonoras propagam-se mais rápido em meios gasosos do que em meios sólidos.
c) O som é um tipo de onda mecânica, tridimensional e longitudinal. As ondas sonoras propagam-se mais rápido em meios sólidos do que em meios líquidos.
d) O som é um tipo de onda mecânica, tridimensional e transversal. As ondas sonoras propagam-se mais rápido em meios sólidos do que em meios gasosos.
e) O som é um tipo de onda mecânica, unidimensional e longitudinal. As ondas sonoras propagam-se mais rápido em meios gasosos do que em meios sólidos.
As ondas sonoras são ondas mecânicas, longitudinais e tridimensionais. Quanto maior for a proximidade das moléculas do meio, maior será a velocidade de propagação das ondas sonoras, logo, a velocidade do som é maior nos sólidos do que nos líquidos.
RESPOSTA: c).
2.
Uma fonte de ondas sonoras está imersa em água, emitindo ondas a uma frequência de 740 Hz. Sabendo que o comprimento de onda das ondas produzidas pela fonte é de 200 cm, determine a velocidade de propagação das ondas sonoras na água.
a) 1400 m/s
b) 1480 m/s
c) 1500 m/s
d) 340 m/s
e) 7400 m/s
A partir do princípio fundamental da ondulatória, e sabendo que 200 cm = 2 m, temos que:
v = λ.f
v = 2 . 740 = 1480 m/s
RESPOSTA: b).